М
Молодежь
К
Компьютеры-и-электроника
Д
Дом-и-сад
С
Стиль-и-уход-за-собой
П
Праздники-и-традиции
Т
Транспорт
П
Путешествия
С
Семейная-жизнь
Ф
Философия-и-религия
Б
Без категории
М
Мир-работы
Х
Хобби-и-рукоделие
И
Искусство-и-развлечения
В
Взаимоотношения
З
Здоровье
К
Кулинария-и-гостеприимство
Ф
Финансы-и-бизнес
П
Питомцы-и-животные
О
Образование
О
Образование-и-коммуникации
chapa00
chapa00
28.09.2022 20:50 •  Геометрия

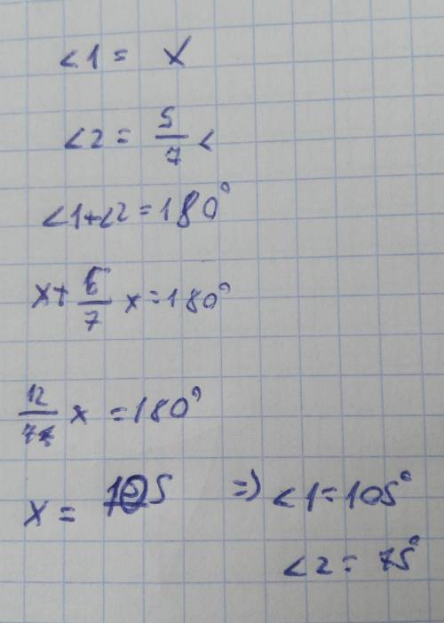
Найдите смежные углы, если один из них составляет 5/7 другого.

👇
Ответ:
Sazon1000
Sazon1000
28.09.2022

........................


Найдите смежные углы, если один из них составляет 5/7 другого.
4,5(75 оценок)
Ответ:
красава005
красава005
28.09.2022

ответ: 105 гр. и 75 гр.

Объяснение:

180 - это смешанный угол.

2 угла:

х и 5/7 х

Уравнение: х + 5/7х = 180

1 5/7х = 180

Х = 180 * 7/12

Х = 105

180 - 105

Углы: 1) 105; 2) 75.

4,5(6 оценок)
Открыть все ответы
Ответ:
emy2512
emy2512
28.09.2022

1. Радиус сферы равен половине диаметра, R = 25 см.

Отрезок, соединяющий центр сферы с центром сечения, перпендикулярен сечению. это и есть расстояние от центра сферы до сечения.

Итак, ОА = 25 см, ОС = 15 см. Из прямоугольного треугольника АОС по теореме Пифагора находим радиус сечения:

АС = √(ОА² - ОС²) = √(25² - 15²) = √(625 - 225) = √400 = 20 cм

Линия пересечения сферы плоскостью - окружность. Ее длина:

C = 2π·AC = 2π · 20 = 40π см

2. Сечение шара - круг. Его площадь равна 36π см²:

Sсеч = π · r² = 36π

r² = 36

r = 6 см

Из прямоугольного треугольника АОС по теореме Пифагора:

ОС = √(ОА² - r²) = √(100 - 36) = √64 = 8 см - искомое расстояние.

3. Радиус большого круга равен радиусу шара.

Площадь сечения:

Sсеч = πr²

Площадь большого круга:

S = πR², R = √(S/π)

Sсеч / S = πr² / (πR²) = r²/ R²

По условию Sсеч / S = 3 / 4, ⇒

r²/ R² = 3 / 4, тогда r/R = √3/2

В прямоугольном треугольнике АОС r/R - это косинус угла А.

Тогда ∠А = 30°.

Расстояние от центра шара до сечения - отрезок ОС. Это катет, лежащий напротив угла в 30°, значит он равен

OC = R/2 = √(S/π) / 2 = √S/(2√π)

4. Радиус шара равен половине диаметра:

R = 2√3 см

Прямоугольный треугольник ОВС равнобедренный, так как в нем острый угол равен 45°, поэтому

ОС = r = R/√2 = 2√3 / √2 = √6 см

Sсеч = πr² = π · (√6)² = 6π см²

4,7(34 оценок)
Ответ:
Viktyfox17
Viktyfox17
28.09.2022
Герман Холлерит в конце XIX века в Америке придумал счетно-перфорационные машины. В них применялись перфокарты для сохранения числовой информации. Г. Холлерит является основателем фирмы, которая выпускает счетно-перфорационные машины. IBM — сегодня самая популярная корпорация в мире по производству компьютеров.
Первая ЭВМ была изобретена в США в 1945 году. Это была универсальная машина на электронных лампах, ее сконструировали Дж.Моучли и Дж.Эккерт.Всю электронно-вычислительную технику можно поделить на поколения. Смены поколений в основном связаны с прогрессом электронной техники. Итак:

— 1-е поколение ЭВМ — это ламповые машины 50-х годов.Для ввода программ и данных использовались перфоленты и перфокарты.
— 2-е поколение ЭВМ — транзисторы стали элементарной базой в 60-х годах. ЭВМ теперь надежнее,компактнее, менее энергоемкие.
— 3-е поколение ЭВМ — создано на интегральных схемах.Появляются магнитные диски, новый тип запоминающих устройств.
— 4-е поколение ЭВМ — создан микропроцессор в 1971 году фирмой Intel.Соединив микропроцессор с устройствами внешней памяти,ввода-вывода, изобрели микроЭВМ.

4,5(41 оценок)
Новые ответы от MOGZ: Геометрия
logo
Вход Регистрация
Что ты хочешь узнать?
Спроси Mozg
Открыть лучший ответ