М
Молодежь
К
Компьютеры-и-электроника
Д
Дом-и-сад
С
Стиль-и-уход-за-собой
П
Праздники-и-традиции
Т
Транспорт
П
Путешествия
С
Семейная-жизнь
Ф
Философия-и-религия
Б
Без категории
М
Мир-работы
Х
Хобби-и-рукоделие
И
Искусство-и-развлечения
В
Взаимоотношения
З
Здоровье
К
Кулинария-и-гостеприимство
Ф
Финансы-и-бизнес
П
Питомцы-и-животные
О
Образование
О
Образование-и-коммуникации
mediw1
mediw1
25.01.2020 19:45 •  Геометрия

Дорешайте задачу по геометрии (10 класс) По сути дела нужно только подставить значения в итоговое получившееся уравнение

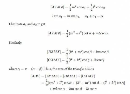
Из точки M, лежащей внутри треугольника ABC, на стороны BC, AC, AB проведены перпендикуляры, длины которых равны k, l и m соответственно. Найдите площадь треугольника ABC, если ∠CAB=α и ∠ABC=β. α=π/4 , β=2π/3, k=5, l=3, m=4. В случае, если ответ будет нецелым, округлите его до ближайшего целого.

РЕШЕНИЕ:

Пусть [] обозначает площади. Рассмотрим четырехугольник AYMZ


Дорешайте задачу по геометрии (10 класс) По сути дела нужно только подставить значения в итоговое по
Дорешайте задачу по геометрии (10 класс) По сути дела нужно только подставить значения в итоговое по

👇
Открыть все ответы
Ответ:
sirius830
sirius830
25.01.2020
Рисунок без буквенных обозначений (кроме C,O,M), обозначишь, если нужно как угодно, хотя всё понятно и так.
Для удобства и быстроты всей писанины введём буквенные обозначения a-сторона основания, l- апофема, h- высота основания. Эти три величины потребуются для всего вычисления.
МО=3, как катет, лежащий против угла в 30°
Для Δ-ка, лежащего в основании медианы, биссектрисы, высоты совпадают, а точка их пересечения О- является центром основания.
Далее вспоминаем свойство медиан Δ-ка:
Медианы треугольника пересекаются в одной точке, и делятся этой точкой на две части в отношении 2:1, считая от вершины.
Поэтому l=3MO=3\cdot3=9
Теперь находим a:
a^2=( \frac{a}{2})^2+9^2\\ \\a^2= \frac{a^2}{4}+81\\ \\4a^2=a^2+324\\
3a^2=324\\a^2=108\\a=6 \sqrt{3}

S_{OCH}= \frac{ah}{2}= \frac{6 \sqrt{3}\cdot9}{2}=27 \sqrt{3}\\ \\ S_{6OK.}=3 \frac{al}{2}=3 \frac{6 \sqrt{3}\cdot6}{2}=54 \sqrt{3}

S_{n.}= S_{OCH}+ S_{6OK.}=27 \sqrt{3}+54\sqrt{3}=81 \sqrt{3}\ cm^2

...Ну и как "Лучший ответ" не забудь отметить, ОК?!.. ;)
Вправильной треугольной пирамиде апофема равна 6 см, наклонена к плоскости основания под углом 60*.
4,6(90 оценок)
Ответ:
(1) (x-2)²-49=0. x²-4x+4-49=0. x²-4x-45=0. a=1;в=-4(в/2=-2);с=-45. D=(-2)²-1*(-45)=4+45=49. x(1,2)=2(+-)√49/1. x(1)=2+√49=2+7=9. x(2)=2-√49=2-7=-5. ответ: х(1)=9; х(2)=-5 (2) 9(2x+3)²-25=0; 9(4x²+12x+9)-25=0; 36x²+108x+81-25=0; 36x²+108x+56=0; a=36, в=108(в/2=54),c=56; D=54²-36*56=2916-2016=900; x(1,2)=-54(+-)√900/36; x(1)=-54+30/36=-24/36=-2/3; x(2)=-54-30/36=-84/36=-7/3=-2 1/3; ответ: х(1)=-2/3; х(2)=-2 1/3 (3) 2(3x+5)²=7(3x+5); 2(9x²+30x+25)=21x+35; 18x²+60x+50-21x-35=0; 18x²-39x+15=0; a=18,в=-39,c=15; D=(-39)²-4*18*15=1521-1080=441; x(1,2)=39(+-)√441 / 18*2; x(1)=39+21/36=60/36=1 24/36=1 2/3; x(2)=39-21/36=18/36=1/2=0,5; ответ: x(1)=1 1/3; x(2)=0,5; Четвёртое уравнение уточни
4,6(15 оценок)
Это интересно:
Новые ответы от MOGZ: Геометрия
logo
Вход Регистрация
Что ты хочешь узнать?
Спроси Mozg
Открыть лучший ответ