М
Молодежь
К
Компьютеры-и-электроника
Д
Дом-и-сад
С
Стиль-и-уход-за-собой
П
Праздники-и-традиции
Т
Транспорт
П
Путешествия
С
Семейная-жизнь
Ф
Философия-и-религия
Б
Без категории
М
Мир-работы
Х
Хобби-и-рукоделие
И
Искусство-и-развлечения
В
Взаимоотношения
З
Здоровье
К
Кулинария-и-гостеприимство
Ф
Финансы-и-бизнес
П
Питомцы-и-животные
О
Образование
О
Образование-и-коммуникации
ксюха1212
ксюха1212
11.05.2020 18:00 •  Геометрия

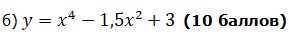
Используя определение, исследуйте на четность/нечетность функции:


Используя определение, исследуйте на четность/нечетность функции:

👇
Открыть все ответы
Ответ:
martynov20031
martynov20031
11.05.2020
Подставь свои числа просто

пирамида КАВС, К -вершина , в основании равносторонний треугольник АВС, О-центр основания =пересечение медиан=высот=биссектрис, проводим высоту ВН на АС, уголКВО=45, КО=высота пирамиды=4*корень3, треугольник КВО прямоугольный, уголВКО=90-уголКВО=90-45=45, треугольник КВО равнобедренный, КО=ВО=4*корень3, ВН-медиана, которая в точке пересечения делится в отношении 2/1 начиная от вершины, ВО=2 части, ОН=1 часть=ВО/2=4*корень3/2=2*корень3, ВН=ВО+ОН=4*корень3+2*корень3=6*корень3, АВ=ВС=АС=2*ВН*корень3/3=2*6*корень3*корень3/3=12, площадьАВС=АС в квадрате*корень3/4=144*корень3/4=36*корень3, объем=1/3*площадьАВС*КО=1/3*36*корень3*4*корень3=144
4,8(61 оценок)
Ответ:
Masha6655
Masha6655
11.05.2020
Используем теорему Пифагора AB^2=AD^2+BD^2=9+BD^2 BC^2=DC^2+BD^2=4  ==>  BD^2 = 4-DC^2 подставим  в первое уравнение  AB^2 = 9+BD^2 = 9+4-DC^2 = 13 - DC^2 AB^2 + BC^2 = (AD+DC)^2  ==> AB^2=(AD+DC)^2-BC^2=(3+DC)^2-2^2=(3+DC)^2 - 4 следовательно можно приравнять правые части уравнений 13 - DC^2 = (3+DC)^2 - 4  ==> (3+DC)^2 - 4 - 13 + DC^2 =0  ==> 9+6*DC+DC^2 - 4 - 13 + DC^2 =0  ==> 2*DC^2 + 6*DC -8 =0 D=36-4*2*(-8)=36+64=100=10^2 DC=(-6+10)/(2*2)=4/4=1 AB^2 = 13 - DC^2 = 13 - 1 = 12   ==>  AB=2*3^(1/2) BD^2=AB^2-9 = 12 - 9 =3  ==> DB=3^(1/2) 
4,7(67 оценок)
Это интересно:
Новые ответы от MOGZ: Геометрия
logo
Вход Регистрация
Что ты хочешь узнать?
Спроси Mozg
Открыть лучший ответ