М
Молодежь
К
Компьютеры-и-электроника
Д
Дом-и-сад
С
Стиль-и-уход-за-собой
П
Праздники-и-традиции
Т
Транспорт
П
Путешествия
С
Семейная-жизнь
Ф
Философия-и-религия
Б
Без категории
М
Мир-работы
Х
Хобби-и-рукоделие
И
Искусство-и-развлечения
В
Взаимоотношения
З
Здоровье
К
Кулинария-и-гостеприимство
Ф
Финансы-и-бизнес
П
Питомцы-и-животные
О
Образование
О
Образование-и-коммуникации
ultraomegaus
ultraomegaus
29.05.2022 06:59 •  Геометрия

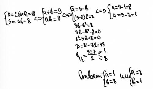
Чему равны стороны прямоугольника, если его периметр равен 18 см, а площадь — 8 см²?

👇
Ответ:
вжик82
вжик82
29.05.2022

ответ: держи

Объяснение:


Чему равны стороны прямоугольника, если его периметр равен 18 см, а площадь — 8 см²?
4,6(35 оценок)
Открыть все ответы
Ответ:
husravh323
husravh323
29.05.2022
Для начало нужно определить через какие точки проходит эта   прямая   2x+y-6=02x+y−6=0  . для этого выразим   "y"   затем приравняем левую часть к 0 для того что бы найти точки пересечения с осью ох  \begin{lgathered}y=6-2x\\ 6-2x=0\\ x=3\\\end{lgathered}​y=6−2x​6−2x=0​x=3​​​  , а точка пересечения   с осью оу =6 , я так понял что точки пересечения по осям а и b даны как 6 и 2 , тогда координата точки   "а" так и останется   , а координату точки b нужно определить , так как она лежит на этой прямой подставим значение  \begin{lgathered}2x+2-6=0\\ x=2\end{lgathered}​2x+2−6=0​x=2​​    на рисунке видно    ! теперь можно найти конечно уравнение oa для того   чтобы найти уравнение аd , но можно поступить так очевидно что точка d будет координата   (0; 2) . если вам надо доказательство то нужно решить уравнение пусть координаты точки d(x; y)(x; y)тогда по теореме   пифагора каждую сторону выразить получим   систему  \left \{ {{x^2+(6-y)^2+(x-2)^2+(y-2)^2=20} \atop {(x-2)^2+(y-2)^2+x^2+y^2=8}} \right.{​(x−2)​2​​+(y−2)​2​​+x​2​​+y​2​​=8​x​2​​+(6−y)​2​​+(x−2)​2​​+(y−2)​2​​=20​​  решая получим точку   d(0; 2) теперь легко найти уравнение ad , по формуле  \frac{x-x_{1}}{x_{2}-x_{1}}=\frac{y-y_{1}}{y_{2}-y_{1}}​x​2​​−x​1​​​​x−x​1​​​​=​y​2​​−y​1​​​​y−y​1​​​​  получим y=2  то есть уравнение ad равна это прямая   параллельна оси ох 
4,8(97 оценок)
Ответ:
masha90876
masha90876
29.05.2022

1) Если вокруг квадрата описать окружность, то радиус этой окружности будет равен 1/2 диагонали квадрата.  по теореме Пифагора найдем диагональ квадрата  :

\sqrt{8^{2}+8^{2} } = \sqrt{64+64} =\sqrt{128}=8\sqrt{2} см

8\sqrt{2} : 2 = 4\sqrt{2 } см будет радиус окружности

Формула длины окружности:

С=2пR.

Подставим наши значения

С= 2*3,14*4√ 2 = 25,12√2 см

ответ: Длина окружности описанной вокруг квадрата  равна 25,12√2 см

2)  Поскольку окружность вписана в квадрат , то диаметр этой окружности будет равен стороне квадрата, т.е. 8 см. Тогда радиус окружности будет 8/2=4 см

Формула длины окружности: С=2пR.

С= 2*3,14*4= 25.12 см

ответ длинна окружности вписанной в квадрат 25,12 см

4,4(71 оценок)
Это интересно:
Новые ответы от MOGZ: Геометрия
logo
Вход Регистрация
Что ты хочешь узнать?
Спроси Mozg
Открыть лучший ответ