М
Молодежь
К
Компьютеры-и-электроника
Д
Дом-и-сад
С
Стиль-и-уход-за-собой
П
Праздники-и-традиции
Т
Транспорт
П
Путешествия
С
Семейная-жизнь
Ф
Философия-и-религия
Б
Без категории
М
Мир-работы
Х
Хобби-и-рукоделие
И
Искусство-и-развлечения
В
Взаимоотношения
З
Здоровье
К
Кулинария-и-гостеприимство
Ф
Финансы-и-бизнес
П
Питомцы-и-животные
О
Образование
О
Образование-и-коммуникации
lizavolod17
lizavolod17
28.10.2020 04:16 •  Геометрия

Найдите высоту равностороннего треугольника, стороны которого равны 2 ​

👇
Ответ:
любовь270
любовь270
28.10.2020

h = \sqrt{3}

Объяснение:

1) Через площадь треугольника:

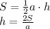
S = \frac{1}{2}a\cdot {h}\\ h = \frac{2S}{a}

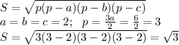
По формуле Герона

S =\sqrt{p(p-a)(p-b)(p-c)} \\ a = b = c = 2;\: \: \: p = \frac{3a}{2} = \frac{6}{2} = 3 \\S = \sqrt{3(3 - 2)(3 - 2)(3 - 2)} = \sqrt{3}

Отсюда:

h = \frac{2S}{2} = \frac{2 \sqrt{3}}{2} = \sqrt{3}

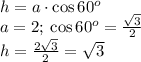
2) Через косинус угла 60°

h = a \cdot { \cos{60^{o} }} \\ a = 2;\: \cos{60^{o}} = \frac{ \sqrt{3} }{2} \\ h = \frac{2 \sqrt{3} }{2} = \sqrt{3} \\

4,7(5 оценок)
Открыть все ответы
Ответ:

А1.по теореме Пифагора квадрат гипотенузы равен сумме квадратов катетов квадрат гипотенузы равен 3^2+4^2=25  

гипотенуза равна корень(25)= 5 см

ответ: 5 см

А2.вводим переменную x

2x-одна сторона

3x-смежная с ней

сторона MK равна 2x а сторона KP 3x гипотенуза 5

по теореме Пифагора a²+b²=c²

(2x)²+(3x)²=5

4x²+9x²=5

13x²=5

x²=5÷13

x=√5÷13

меньшая сторона 2x =2×√5÷13

А3.Внутренний угол C=180-150=30

Тут 2 случая:

1). В=90

Пусть АВ =х . Катет, лежащий против угла 30 градусов равен половине гипотенузы:

Значит, АС= 2х

Тогда 2х=х=4; х=4

ответ: АВ=4

2).А=90

Пусть АВ =х . Катет, лежащий против угла 30 градусов равен половине гипотенузы:

Значит, ВС= 2х

Тогда 2х=х=4; х=4

ответ: АВ=4

А4.рассмотрим ΔВОС. в нем ОВ=6/2=3

                                               ОС=8/2=4 т.к диагонали делятся пополам в месте пересечения 

∠ВОС=90°, т.к диагонали перпендикулярны по св-ву.

ВС-? , ⇒

по т пифагора

ВС²=ОВ²+ОС²

ВС²=9+16

ВС²=25

ВС=5

4,6(16 оценок)
Ответ:
Решение:
Пусть:
длина прямоугольника (а)
ширина прямоугольника равна (в)
Отношение сторон равно:
а/в=4/3
Отсюда:
а=4*в/3=4в/3
Стороны прямоугольника можно найти по Теореме Пифагора
Известна диагональ прямоугольника, которая является гипотенузой (c) прямоугольного треугольника:
c²=а²+в² подставим вместо значения (а) а=4в/3
20²=(4в/3)²+в²
20²=16в²/9+в²
9*20²=16в²+9*в²
9*400=25в²
3600=25в²
в²=3600 : 25
в²=144
в1,2=+-√144=+-12
в1=12 (см)- ширина прямоугольника
в2=-12 - не соответствует условию задачи
а=4в/3=4*12/3=16 (см)- длина прямоугольника

ответ: Стороны прямоугольника равны; 16см; 4см
4,6(70 оценок)
Новые ответы от MOGZ: Геометрия
logo
Вход Регистрация
Что ты хочешь узнать?
Спроси Mozg
Открыть лучший ответ