М
Молодежь
К
Компьютеры-и-электроника
Д
Дом-и-сад
С
Стиль-и-уход-за-собой
П
Праздники-и-традиции
Т
Транспорт
П
Путешествия
С
Семейная-жизнь
Ф
Философия-и-религия
Б
Без категории
М
Мир-работы
Х
Хобби-и-рукоделие
И
Искусство-и-развлечения
В
Взаимоотношения
З
Здоровье
К
Кулинария-и-гостеприимство
Ф
Финансы-и-бизнес
П
Питомцы-и-животные
О
Образование
О
Образование-и-коммуникации
katanator
katanator
23.08.2021 22:19 •  Геометрия

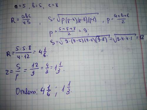
Стороны треугольника равны 5 5 8 найдите радиус описанной и вписанной окружности​

👇
Ответ:
equillirum
equillirum
23.08.2021

Решение задания прилагаю


Стороны треугольника равны 5 5 8 найдите радиус описанной и вписанной окружности​
4,7(26 оценок)
Открыть все ответы
Ответ:
атэмон
атэмон
23.08.2021
Из условию следует две позиций , то есть условие не точное! (2 решения предложу)
Пусть наш двугранный угол  ABD ;  AB=6; AD=10; ED=7.5 найти надо BC,
очевидно что треугольники подобны так как углы равны то есть угол А общий, то 
sinA=6/x
sinA=7.5/10
6/x=7.5/10
x=4.5; можно конечно по другому решить  найти ВЕ

(6+BE)^2+7.5^2=10^2
с него опусти гипотенузу , затем решить систему , но этот вариант  утомительный!
ответ 4,5 см

Теперь второй вариант этой задачи  
Можно найти угол между АС и АВ, по теореме косинусов 
7.5^2=6^2+10^2-2*6*10*cosa
отудого сразу найдем sina=√128639 /  480
теперь площадь S=6*10*√128639/480 /2 =16√128639;
теперь BH=2*16√128639 /10 = 16√128639/5 
4,5(4 оценок)
Ответ:
Пааапртоо
Пааапртоо
23.08.2021
Расстояние от точки до прямой ( здесь - до  ребра двугранного угла) - перпендикуляр. 
Следовательно, перпендикуляр из точки А=6 см к ребру двугранного угла параллелен перпендикуляру из точки В=10 см к ребру того же двугранного угла.  
Расстояние от точки до плоскости -  длина перпендикулярного к ней отрезка. 
Следовательно, перпендикуляр из  точки В  к плоскости параллелен перпендикуляру из точки А к плоскости. 
 Острые углы у ребра в получившихся прямоугольных треугольниках  оба равны линейному углу двугранного угла. 
Если в прямоугольных треугольниках есть по равному острому углу, эти треугольники подобны. 
Из подобия следует отношение: 
6:10=х:7,5 
10х=45 
х=4,5 см
На гранях двугранного угла взяты две точки удаленные от ребра двугранного угла на 6 см и 10 см. изве
4,5(7 оценок)
Это интересно:
Новые ответы от MOGZ: Геометрия
logo
Вход Регистрация
Что ты хочешь узнать?
Спроси Mozg
Открыть лучший ответ