М
Молодежь
К
Компьютеры-и-электроника
Д
Дом-и-сад
С
Стиль-и-уход-за-собой
П
Праздники-и-традиции
Т
Транспорт
П
Путешествия
С
Семейная-жизнь
Ф
Философия-и-религия
Б
Без категории
М
Мир-работы
Х
Хобби-и-рукоделие
И
Искусство-и-развлечения
В
Взаимоотношения
З
Здоровье
К
Кулинария-и-гостеприимство
Ф
Финансы-и-бизнес
П
Питомцы-и-животные
О
Образование
О
Образование-и-коммуникации
09Катя99
09Катя99
20.07.2020 08:05 •  Геометрия

Составьте уравнение прямой, проходящей через точки (2;-1) и (-2;7)

👇
Ответ:
Danil21K
Danil21K
20.07.2020

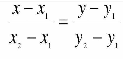
Подставляем в формулу (на фото) и получаем

(Х-2)/(-4)=(у+1)/8 домножим обе части на 8:

-2(х-2)=у+1. Приводим к общему виду у=кх+в

У=-2х+3 - уравнение прямой


Составьте уравнение прямой, проходящей через точки (2;-1) и (-2;7)
4,8(40 оценок)
Открыть все ответы
Ответ:
Alexkusaiko
Alexkusaiko
20.07.2020
В равнобедренном треугольнике две равные стороны называются боковыми, а третья - основанием треугольника. Точка пересечения равных сторон — вершина равнобедренного треугольника. Угол между одинаковыми сторонами считается углом при вершине, а два других — углами при основании треугольника.
Являются доказанными такие свойства равнобедренного треугольника:
- равенство углов при основании, 
- совпадение проведенных из вершины биссектрисы, медианы и высоты с осью симметрии треугольника, 
- равенство между собой двух других биссектрис (медиан, высот),
- пересечение биссектрис (медиан, высот), проведенных из углов при основании, в точке, лежащей на оси симметрии.
Наличие одного из этих признаков является доказательством того, что треугольник равнобедренный.
4,4(86 оценок)
Ответ:
maximt025
maximt025
20.07.2020
В равнобедренном треугольнике две равные стороны называются боковыми, а третья - основанием треугольника. Точка пересечения равных сторон — вершина равнобедренного треугольника. Угол между одинаковыми сторонами считается углом при вершине, а два других — углами при основании треугольника.
Являются доказанными такие свойства равнобедренного треугольника:
- равенство углов при основании, 
- совпадение проведенных из вершины биссектрисы, медианы и высоты с осью симметрии треугольника, 
- равенство между собой двух других биссектрис (медиан, высот),
- пересечение биссектрис (медиан, высот), проведенных из углов при основании, в точке, лежащей на оси симметрии.
Наличие одного из этих признаков является доказательством того, что треугольник равнобедренный.
4,8(38 оценок)
Это интересно:
Новые ответы от MOGZ: Геометрия
logo
Вход Регистрация
Что ты хочешь узнать?
Спроси Mozg
Открыть лучший ответ