
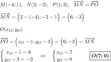
ответ: Задача 3
Угол 3 = 180-(22+45)=113 градусов
Объяснение:
тк в треугольнике сумма всех углов = 180 градусов
угол 1 при прямой н равен углу треугольника при прямой м как соответствующие углы. Угол 2 равен углу треугольника при прямой м как вертикальные
Задача 4
угол СМА =180-16*2=148
тк МД - бисектриса и делит угол пополам. А сумма смежных углов 180 градусов
Задача 5
Угол ОМК= углу ОКМ тк треугольник КОМ равнобедренный (ОК и ОМ радиусы) углы при основании равны. Радиус проведенный в точку касания - перпендикулярен касательной значит угол ОКМ=90-39=51.
ответ ОМК=51 градус
В равнобедренный треугольник АВС , АВ=ВС=15 , АС=24, вписана окружность (О; r). Найдите r.
Объяснение:
1)Пусть ВН ⊥АС. Центр вписанной окружности О лежит в точке пересечения биссектрис. В равнобедренном треугольнике биссектриса совпадает с высотой ⇒поэтому О лежит на высоте ВН.
АН=42 :2=12( т.к. ВН и медиана ) . Будем искать r из ΔКВО.
2) ΔАВН-прямоугольный, по т. Пифагора ВН=√(15²-12²)=9. Тогда отрезок ВО можно выразить так ВО=9-r.
По свойству отрезков касательных АН=АК=12⇒КВ=15-12=3.
3) ΔКВО-прямоугольный , по свойству радиуса , проведенного в точку касания . По т. Пифагора ВО²=ОК²+КВ²
(9-r)²=r²+3² ,81-18r+r²=r²+9 ,18r=72 , r=4 .