М
Молодежь
К
Компьютеры-и-электроника
Д
Дом-и-сад
С
Стиль-и-уход-за-собой
П
Праздники-и-традиции
Т
Транспорт
П
Путешествия
С
Семейная-жизнь
Ф
Философия-и-религия
Б
Без категории
М
Мир-работы
Х
Хобби-и-рукоделие
И
Искусство-и-развлечения
В
Взаимоотношения
З
Здоровье
К
Кулинария-и-гостеприимство
Ф
Финансы-и-бизнес
П
Питомцы-и-животные
О
Образование
О
Образование-и-коммуникации
Karina1706kesa
Karina1706kesa
28.09.2020 21:28 •  Геометрия

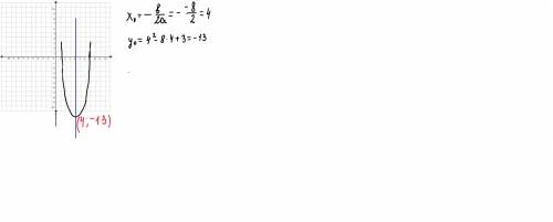
Визнач, у якій точці вісь Ox перетинає вісь симетрії графіка функції y=x2−8x+3 : вісь симетрії графіка перетинає вісь у точці (

👇
Ответ:
kristinarepina
kristinarepina
28.09.2020

Объяснение: y=x²−8x+3              a=1       b=-8

ось симметрии параболы проходит через координату вершины параболы

найдем ее.   Хо= -b\2a= 8\2=4

значит ось  симметрии графика  y=x²−8x+3   пересекает ось ОХ в точке

х=4


Визнач, у якій точці вісь Ox перетинає вісь симетрії графіка функції y=x2−8x+3 : вісь симетрії графі
4,4(7 оценок)
Открыть все ответы
Ответ:
Shkolaetopolniyad
Shkolaetopolniyad
28.09.2020

Вариант 1 (Задача2)

D1 = 1/3R2

Т.к. радиус равен 1/2 диаметра, то:

2R1 = 1/2R2

R1 = 1/6R2

Длина окружности равна C = 2πr.

C1 = 2πR2•1/6 = πR2/3

C2 = 2πR2

C1/C2 = (πR2/3)/2πR2 = 1/6

Площадь круга равна S = πr².

S1 = πR1² = π(1/6R2)² = πR2²/36

S2 = πR²

S1/S2 = (πR2²/36)/πR² = 1/36.

ответ: 1:6; 1:36.

Задача 3

60:15=4

12*4=48 зубцов

Задача 4

Не заштрихованная фигура получена пересечением четырех полуокружностей. Рассмотрим в начале две полуокружности, образованные окружность с радиусом 8:2 = 4 (см). Площадь полуокружностей π× х 42 = 16 • 3,14 = 50,24 (см2), площадь квадрата 8 • 8 = 64 (см2). Площадь 2 не закрашенных фигур 64 — 50,24= 13,76 (см2). Всего у нас 4 не закрашенные фигуры, их площадь равна 13,76∙2 = 27,52 (см2). Площадь заштрихованной фигура равна 64 — 27,52 = = 36,48 (см2).

4,6(81 оценок)
Ответ:
originalMontague
originalMontague
28.09.2020

      На произвольной прямой отложить отрезок 7 см. Обозначить его АС. Из А и С как из центров циркулем с равным раствором 5 см провести ве дуги . Точку их пересечения обозначить В. Соединить А, В, С.  Получившийся треугольник  АВС равнобедренный, АС=7 см, АВ=СВ=5 см

  На АВ сделать насечку с циркуля раствором 5 см, отметить т.Е. СЕ=СВ. Соединить т.Е и С.  ∆ ВЕС - равнобедренный.  

    Провести срединный перпендикуляр к ВЕ Для этого с циркуля из В и Е провести две полуокружности так, чтобы они пересеклись по обе стороны от ВЕ.

    Через точки пересечения провести прямую. Точку пересечения с ВЕ обозначить Н. Т.к. эта прямая проходит через середину ВЕ и перпендикулярна ей, она  проходит через вершину С равнобедренного треугольника ВСЕ. Построенный отрезок СН -  высота ∆ АВС к боковой стороне АВ.


Постройте равнобедренный треугольник с основанием 7 см и боковой стороной 5 см. проведите высоту к б
4,6(85 оценок)
Новые ответы от MOGZ: Геометрия
logo
Вход Регистрация
Что ты хочешь узнать?
Спроси Mozg
Открыть лучший ответ