
∠BEA = ∠EAD, как внутренние накрест лежащие углы при BE║AD и секущей AE, ∠BEA = 30°.
Сумма углов треугольника равна 180°.В ΔABE:
∠BAE = 180°-∠ABE-∠BEA = 180°-100°-30° = 50°;
По теореме синусов:

дм
BC = 2·BE = 20sin50° дм т.к. E - середина BC.
P(ABCD) = AB+BC+CD+AD = 2·AB+2·BC = 10+40sin50° дм.
Пусть AH⊥BC и H∈BC. Тогда ΔAHB - прямоугольный.
∠ABH = 180°-∠ABE т.к. сумма смежных углов равна 180°, ∠ABH = 180°-100° = 80°.
Синус острого угла прямоугольного треугольника равен отношению противолежащего катета к гипотенузе.
AH = 5sin80° дм
Площадь параллелограмма равна произведению его стороны и высоты проведённой к этой стороне.AH - высота параллелограмма ABCD проведённая к стороне BC.
S(ABCD) = BC·AH = 20sin50°·5sin80° = 100sin50°·sin80° дм².
ответ: 10+40sin50° дм; 100sin50°·sin80° дм².
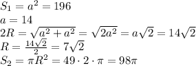
сторона квадрата 14
диагональ квадрата 14√2
пол-диагонали = радиус =7√2
площадь круга pi * 7√2 * 7√2 = pi * 98