М
Молодежь
К
Компьютеры-и-электроника
Д
Дом-и-сад
С
Стиль-и-уход-за-собой
П
Праздники-и-традиции
Т
Транспорт
П
Путешествия
С
Семейная-жизнь
Ф
Философия-и-религия
Б
Без категории
М
Мир-работы
Х
Хобби-и-рукоделие
И
Искусство-и-развлечения
В
Взаимоотношения
З
Здоровье
К
Кулинария-и-гостеприимство
Ф
Финансы-и-бизнес
П
Питомцы-и-животные
О
Образование
О
Образование-и-коммуникации
МихаилД
МихаилД
26.08.2020 22:41 •  Геометрия

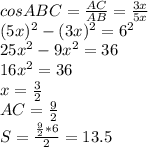
Впрямоугольном треугольнике abc катет bc равен 6, а косинус острого угла abc равен 3/5. найдите площадь треугольника.

👇
Ответ:
liza901283
liza901283
26.08.2020
cosABC=\frac{AC}{AB}=\frac{3x}{5x}\\
(5x)^2-(3x)^2=6^2\\
25x^2-9x^2=36\\
16x^2=36\\
x=\frac{3}{2}\\
AC=\frac{9}{2}\\
S=\frac{\frac{9}{2}*6}{2}=13.5

4,4(92 оценок)
Открыть все ответы
Ответ:
alonbinyaminov1
alonbinyaminov1
26.08.2020
Изначально так:///Пусть задана окружность ω (A; R) на плоскости Oxy, где точка A, центр окружности – имеет координаты a и b. ..Таким образом, координаты x и y любой точки окружности ω (A; R) удовлетворяют уравнению (x – a)^2 + (y – b)^2 = R^2.///
Раскрыть скобки, получить х^2-2ах+а^2+у^2-2ву-в^2=R^2Преобразовав чуток поиметь своё выражение.
Теперь в обратную:х^2+y^2+6х-8у=х^2+2*х*3+3^2-3^2 +у^2-2*у*4+4^2-4^4 = (х+3)^2 + (у-4)^2 ...Остальные цифири - в R^2 или ещё как, судя по недопечатанности хвостика вопроса вашего.Суть решения - из общей строки многочлена вытащить квадрат суммы/разности при "х", и квадрат суммы/разности при у.Остальное - как уж получится.Ага?
4,5(63 оценок)
Ответ:
Фейз
Фейз
26.08.2020
Условие задачи дано с ошибкой: если в основании прямоугольного параллелепипеда квадрат, то диагональ основания составляет с боковой гранью угол 45°, а не 30°. Кроме того, по этим данным невозможно найти высоту прямоугольного параллелепипеда.

Задача встречается в таком виде:
Основанием прямоугольного параллелепипеда служит квадрат. Диагональ параллелепипеда  равна 12, она составляет угол 30° с плоскостью боковой грани. Найдите объём прямоугольного параллелепипеда.

DB₁ - диагональ прямоугольного параллелепипеда.
Угол между прямой и плоскостью - угол между прямой и ее проекцией на эту плоскость.
В₁С₁⊥(DD₁C₁), значит DC₁ - проекция диагонали DB₁ на плоскость (DD₁C₁), а ∠B₁DC₁ = 30°.

ΔB₁C₁D: ∠C₁ = 90°,
                 B₁C₁ = DB₁ · sin30° = 12 · 1/2 = 6 - ребро основания
                 DC₁ = DB₁ · cos 30° = 12 · √3/2 = 6√3

ΔDCC₁: ∠C = 90°, по теореме Пифагора
               СС₁ = √(DС₁² - DC²) = √(108 - 36) = √72 = 6√2 - высота параллелепипеда

V = Sосн·H = 6² · 6√2 = 216√2
4,7(51 оценок)
Это интересно:
Новые ответы от MOGZ: Геометрия
logo
Вход Регистрация
Что ты хочешь узнать?
Спроси Mozg
Открыть лучший ответ