М
Молодежь
К
Компьютеры-и-электроника
Д
Дом-и-сад
С
Стиль-и-уход-за-собой
П
Праздники-и-традиции
Т
Транспорт
П
Путешествия
С
Семейная-жизнь
Ф
Философия-и-религия
Б
Без категории
М
Мир-работы
Х
Хобби-и-рукоделие
И
Искусство-и-развлечения
В
Взаимоотношения
З
Здоровье
К
Кулинария-и-гостеприимство
Ф
Финансы-и-бизнес
П
Питомцы-и-животные
О
Образование
О
Образование-и-коммуникации
TheKristinasGames
TheKristinasGames
27.12.2022 00:57 •  Геометрия

Даны точки A,B,C. Если А(-2;-4) и С(-3;1) являются серединой отрезка АВ, то найдите координаты точки В.

👇
Ответ:
sashaShelsy
sashaShelsy
27.12.2022

B(-4; \: 6)

Объяснение:

Дано:

точки A,B,C.

А(-2;-4), С(-3;1)

С - середина отрезка АВ

Найти:

В(х,у) - ?

Если С - середина отрезка АВ, то для А, В и С справедливо тождество:

C_x= \frac{A_x+B_x}{2}\\C_y= \frac{A_y+B_y}{2} \\

где Ах, Ау, Вх, Ву, Сх, Су - координаты х и у точек А, В и С соответственно.

Преобразуем

2C_x= {A_x+B_x} \: < = \: B_x = 2C_x - A_x\\2C_y= {A_y+B_y} \: < = \: B_y = 2C_y - A_y\\

Вычислим

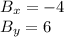
B_x = 2 {\cdot}C_x - A_x \\ B_x = 2 {\cdot}( {-} 3) {- }( - 2){ =}{ -} 6{ + }2{ = }{-} 4\\B_y = 2 {\cdot}C_y - A_y\\B_y = 2 {\cdot}1 {- }4 {=} 2{ - }( {- }4 ){= }2{ + }4{ = }6 \\

Получили ответ

B_x = - 4 \\ B_y = 6

Т.е. искомая точка В = В(-4; 6)

4,4(42 оценок)
Открыть все ответы
Ответ:
Кауру
Кауру
27.12.2022

Так если один из углов при основании = 60 градусов, то второй угол при основании тоже равен 60 градусов (св-ва р.б. трапеции), вторая бокова сторона равно 8 см (опять же св-во р.б. трапеции)
проводим высоту вн из угла в (допустим трапеция авсд) , получаем прямоугольный треугольник, т.к. мы знаем два угла а=60градусов, и вна равен 90 градусов, то угол авн=30 градусов, значит ан равен 5 см, тк (в прямоугольном треугольнике против угла в 30 градусов лежит катет равный половине гипотенузы),если мы проведем из угла с высоту ск, то получим равный авн треугольник, следовательнокд равен 5 см, значит основание равно 8 + 10= 18
теперь периметр 8 + 18 + 10х2 =  46 см
проверьте на всякий случай, возможны опечатки , писала второпях :) 

4,5(28 оценок)
Ответ:
seperpro
seperpro
27.12.2022

Лето приносит с собой самые теплые дни. В это время года люди,любят загорать на пляже, охлаждаясь прохладительными напитками.

Осенью наступает легкое похолодание,Обычно человек надевает более закрывающую одежду. Погода переменчива и обманчива.

С приходом зимы, ситуация сильно меняется. В эту пору человек стремиться к теплу. Люди надевают шарфы, куртки, шапки и всякую другую теплую одежду.

С приходом весны, природа становится зеленее. Снег исчезает и настают теплая погода.В зависимости от времени года, человек меняет свой досуг и активность.

Объяснение:

если не сложно отметь как лучшее решение.

4,5(66 оценок)
Новые ответы от MOGZ: Геометрия
logo
Вход Регистрация
Что ты хочешь узнать?
Спроси Mozg
Открыть лучший ответ