М
Молодежь
К
Компьютеры-и-электроника
Д
Дом-и-сад
С
Стиль-и-уход-за-собой
П
Праздники-и-традиции
Т
Транспорт
П
Путешествия
С
Семейная-жизнь
Ф
Философия-и-религия
Б
Без категории
М
Мир-работы
Х
Хобби-и-рукоделие
И
Искусство-и-развлечения
В
Взаимоотношения
З
Здоровье
К
Кулинария-и-гостеприимство
Ф
Финансы-и-бизнес
П
Питомцы-и-животные
О
Образование
О
Образование-и-коммуникации
Bashirov12
Bashirov12
19.12.2020 02:24 •  Геометрия

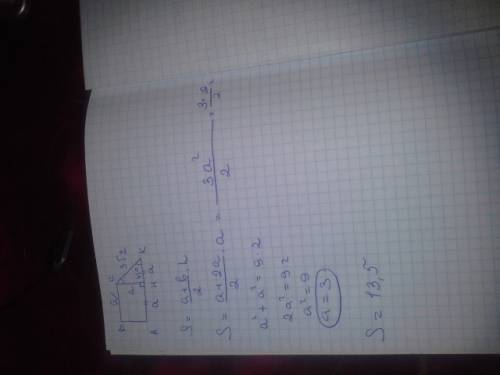
Впрямоугольной трапеции авск большая боковая сторона равна 3√2 см,угол к равен 45 градусов,а высота сн делит основание ак пополам.найдите площадь трапеции.

👇
Ответ:
Beario
Beario
19.12.2020
Смотри фото решение на листе
Впрямоугольной трапеции авск большая боковая сторона равна 3√2 см,угол к равен 45 градусов,а высота
4,8(97 оценок)
Открыть все ответы
Ответ:
evtubori
evtubori
19.12.2020
Признаки равенства прямоугольных треугольников :
1. Если два катета одного прямоугольного треугольника соответственно равны двум катетам другого прямоугольного треугольника, то такие треугольники равны.
2. Если катет и гипотенуза одного прямоугольного треугольника соответственно равны катету и гипотенузе другого прямоугольного треугольника, то такие треугольники равны.
3. Если гипотенуза и острый угол одного прямоугольного треугольника соответственно равны гипотенузе и острому углу другого прямоугольного треугольника, то такие треугольники равны.
4. Если катет и острый угол одного прямоугольного треугольника соответственно равны катету и острому углу другого прямоугольного треугольника, то такие треугольники равны.
4,5(87 оценок)
Ответ:
stasymitaki
stasymitaki
19.12.2020

Можно. Медиана прямоугольного треугольника к гипотенузе равна  её половине и делит исходный на два равнобедренных.

Так как углы равнобедренных треугольников равны, проще всего делить равнобедренный прямоугольный треугольник. Сумма его острых углов 90°, и каждый равен 45° ( см. рис. 1). 

Другой случай - медиана, проведенная  из прямого угла, делит исходный на остроугольный и тупоугольный с вершиной на гипотенузе. . Тупоугольный треугольник можно разделить на 3 равнобедренных, два крайних при этом будут между собой равны. (см. рис.2). Равные углы окрашены в одинаковые цвета. Доказать, что эти треугольники равнобедренные, наверняка сможете без труда. 


Можно ли какой-нибудь прямоугольный треугольник разрезать на четыре равнобедренных треугольника? отв
4,6(1 оценок)
Это интересно:
Новые ответы от MOGZ: Геометрия
logo
Вход Регистрация
Что ты хочешь узнать?
Спроси Mozg
Открыть лучший ответ