М
Молодежь
К
Компьютеры-и-электроника
Д
Дом-и-сад
С
Стиль-и-уход-за-собой
П
Праздники-и-традиции
Т
Транспорт
П
Путешествия
С
Семейная-жизнь
Ф
Философия-и-религия
Б
Без категории
М
Мир-работы
Х
Хобби-и-рукоделие
И
Искусство-и-развлечения
В
Взаимоотношения
З
Здоровье
К
Кулинария-и-гостеприимство
Ф
Финансы-и-бизнес
П
Питомцы-и-животные
О
Образование
О
Образование-и-коммуникации
lolo2005
lolo2005
19.12.2020 02:33 •  Геометрия

Задание 3 ( ).
Три окружности попарно касаются друг друга. Радиусы окружностей равны 3 см, 8 см, 22 см. Найдите площадь треугольника, вершинами которого являются центры этих окружностей.

Задание 4 ( ).
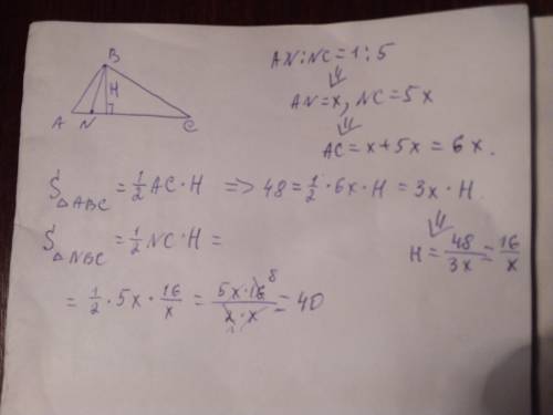
Площадь треугольника ABC равна 48 см2. На стороне AC отметили точку N так, что AN : NC = 1 : 5. Найдите площадь треугольника NBC.

Задание 5.
В равнобедренном треугольнике ABC основание AC = 12 см. BM – медиана, равная 8 см. Найдите:
а) радиус вписанной окружности ( );
б) радиус описанной окружности ( ).

👇
Ответ:
Hondok13
Hondok13
19.12.2020

Объяснение:.............


Задание 3 ( ). Три окружности попарно касаются друг друга. Радиусы окружностей равны 3 см, 8 см, 22
Задание 3 ( ). Три окружности попарно касаются друг друга. Радиусы окружностей равны 3 см, 8 см, 22
Задание 3 ( ). Три окружности попарно касаются друг друга. Радиусы окружностей равны 3 см, 8 см, 22
4,6(40 оценок)
Открыть все ответы
Ответ:
dariyakazakova1
dariyakazakova1
19.12.2020
Окружность360°,
3х+5х+10х=360°
18х=360
х=20
3*20=60
если начертит чертеж получим треугольник, две стороны которого равны радиусу, угол у вершины равен60° основание ьреугольника равно 12 см, отпустим с вершины треугольника на основание высоту, так как у нас треугольник равнобедренный, то эта высота будет и медианой и биссектрисой. когда отпусти высоту получим прямоугольный треуголник 12:2= 6 см, напротив лежит угол 30°, сторона в 6 см является катетом, а гипотенуза радиус, значит радиус равен 12см. по правилу катет лежащий напротив 30° равен половине гипотенузы.
4,7(53 оценок)
Ответ:
ATAT1
ATAT1
19.12.2020
Фигура ЕМРК - сечение треугольной пирамиды АDСВ плоскостью, проходящей через середины ребер этой пирамиды. Значит эта фигура лежит в одной плоскости и ее стороны попарно параллельны. Это - параллелограмм. Но МК=РЕ. Если в параллелограмме диагонали равны, то этот параллелограмм - прямоугольник.
ЕК - средняя линия треугольника АDС, параллельна АС и равна ее половине. ЕК=6см.Тогда из прямоугольного треугольника ЕРК по Пифагору находим катет РК:
РК=√(ЕР²-ЕК²)= √(100-36)=8см.
РК - средняя линия треугольника DBС, параллельна DB и равна ее половине. Значит BD=16см.
ответ: DВ=16см.

Точка в не лежит в плоскости треугольника adc. точки m,p,k i e - середина отрезков ав, вс, сd и ad с
4,6(98 оценок)
Новые ответы от MOGZ: Геометрия
logo
Вход Регистрация
Что ты хочешь узнать?
Спроси Mozg
Открыть лучший ответ