ответ:Первое-медиана делит основание треугольника на 2 равные части
Второе-образовались разные треугольники,не равные между собой,с разным периметром
Третье-периметр треугольника АВС без медианы равен 60см,
АD=DC
P=AB+BC+AD+DC
Периметр треугольника АВD
Р=АВ+АD+BD(медиана)
Периметр реугольника ВСD
P=BC+DC+BD(медиана)
периметры второго и третьего треугольника соответственно равны 36 и 50 см,у каждого из них одной из сторон является медиана
Узнаём,чему она равна
36+50=86 см-это периметры двух образовавшихся треугольников
В 86 см входят две медианы
(86-60):2=26:2=13 см
Одна медиана равна 13 см
Проверка
36-13=23 см(без медианы)
50-13=37 см(без медианы)
23+37=60 см(периметр треугольника АВС)
Объяснение:
168 кв ед
Объяснение:
1)Рассмотрим прямоугольный треугольник АВН(<Н=90°)
<В=90°-45°=45° => треугольник АВН - равнобедренный. АН=ВН=24
Площадь прямоугольного треугольника равна половине произведения его катетов :
а=АН=24, b=ВН=24
тогда площадь треугольника АВН равна:

2)Рассмотрим прямоугольный треугольник CВН(<Н=90°)
По теореме Пифагора найдём катет СН:

Площадь треугольника СВН(катет а=СН=10, катет b=ВН=24):

Площадь треугольника ABC равна разности площадей треугольников АВН и СВН:
S(ABC)=S(ABH)-S(CBH)=288-120=168 кв ед.
Відповідь:
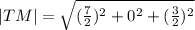
квадрат довжини медіани TM трикутника PST дорівнює 14,5
Пояснення:
Медіана ТМ проведена до середини сторони РS.
Знайдемо координати середини сторони РS, точку М:
Тепер знайдемо координати вектора ТМ
Тепер можемо знайти квадрат довжини медіани TM, знаючи, що
одержимо