М
Молодежь
К
Компьютеры-и-электроника
Д
Дом-и-сад
С
Стиль-и-уход-за-собой
П
Праздники-и-традиции
Т
Транспорт
П
Путешествия
С
Семейная-жизнь
Ф
Философия-и-религия
Б
Без категории
М
Мир-работы
Х
Хобби-и-рукоделие
И
Искусство-и-развлечения
В
Взаимоотношения
З
Здоровье
К
Кулинария-и-гостеприимство
Ф
Финансы-и-бизнес
П
Питомцы-и-животные
О
Образование
О
Образование-и-коммуникации
g116663
g116663
26.03.2021 12:28 •  Геометрия

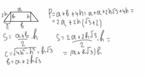
Высота равнобедренной трапеции равна h, ее меньшее основание равно а. найдите периметр и площадь трапеции, если боковая сторона равна 2h?

👇
Ответ:
alevtinatian
alevtinatian
26.03.2021
Смотри во вложениях))))))))))))))
Высота равнобедренной трапеции равна h, ее меньшее основание равно а. найдите периметр и площадь тра
4,8(50 оценок)
Открыть все ответы
Ответ:
dionakavinep08o5z
dionakavinep08o5z
26.03.2021

ответ:Через дві твірні конуса, кут між якими β, проведено площину. Площа

бічної поверхні конуса дорівнює S. Знайдіть площу перерізу, якщо твірна

конуса утворює з висотою кут α.

Объяснение:Через дві твірні конуса, кут між якими β, проведено площину. Площа

бічної поверхні конуса дорівнює S. Знайдіть площу перерізу, якщо твірна

конуса утворює з висотою кут α.

Через дві твірні конуса, кут між якими β, проведено площину. Площа

бічної поверхні конуса дорівнює S. Знайдіть площу перерізу, якщо твірна

конуса утворює з висотою кут α.

Через дві твірні конуса, кут між якими β, проведено площину. Площа

бічної поверхні конуса дорівнює S. Знайдіть площу перерізу, якщо твірна

конуса утворює з висотою кут α.

Через дві твірні конуса, кут між якими β, проведено площину. Площа

бічної поверхні конуса дорівнює S. Знайдіть площу перерізу, якщо твірна

конуса утворює з висотою кут α.

Через дві твірні конуса, кут між якими β, проведено площину. Площа

бічної поверхні конуса дорівнює S. Знайдіть площу перерізу, якщо твірна

конуса утворює з висотою кут α.

Через дві твірні конуса, кут між якими β, проведено площину. Площа

бічної поверхні конуса дорівнює S. Знайдіть площу перерізу, якщо твірна

конуса утворює з висотою кут α.

Через дві твірні конуса, кут між якими β, проведено площину. Площа

бічної поверхні конуса дорівнює S. Знайдіть площу перерізу, якщо твірна

конуса утворює з висотою кут α.

Через дві твірні конуса, кут між якими β, проведено площину. Площа

бічної поверхні конуса дорівнює S. Знайдіть площу перерізу, якщо твірна

конуса утворює з висотою кут α.

Через дві твірні конуса, кут між якими β, проведено площину. Площа

бічної поверхні конуса дорівнює S. Знайдіть площу перерізу, якщо твірна

конуса утворює з висотою кут α.

Через дві твірні конуса, кут між якими β, проведено площину. Площа

бічної поверхні конуса дорівнює S. Знайдіть площу перерізу, якщо твірна

конуса утворює з висотою кут α.

Через дві твірні конуса, кут між якими β, проведено площину. Площа

бічної поверхні конуса дорівнює S. Знайдіть площу перерізу, якщо твірна

конуса утворює з висотою кут α.

Через дві твірні конуса, кут між якими β, проведено площину. Площа

бічної поверхні конуса дорівнює S. Знайдіть площу перерізу, якщо твірна

конуса утворює з висотою кут α.

4,5(66 оценок)
Ответ:
marisha1234567890e
marisha1234567890e
26.03.2021

Несмотря на сложности, в Италии набирала силу борьба за политическое объединение страны. Единственным государством, где после подавления революции 1848 года сохранились конституция и либеральные порядки, был Пьемонт (основная часть Сардинского королевства со столицей в г. Турин).

Какие события привели к объединению Италии?

Верных ответов: 2

передача Сардинского королевства Бурбонам

усиление влияния Австрийской империи, Франции, Испании

совместная борьба широких народных масс и правительства Пьемонта

объединение Италии вокруг Рима

освобождение северо-востока страны от австрийского господства

4,4(26 оценок)
Это интересно:
Новые ответы от MOGZ: Геометрия
logo
Вход Регистрация
Что ты хочешь узнать?
Спроси Mozg
Открыть лучший ответ