М
Молодежь
К
Компьютеры-и-электроника
Д
Дом-и-сад
С
Стиль-и-уход-за-собой
П
Праздники-и-традиции
Т
Транспорт
П
Путешествия
С
Семейная-жизнь
Ф
Философия-и-религия
Б
Без категории
М
Мир-работы
Х
Хобби-и-рукоделие
И
Искусство-и-развлечения
В
Взаимоотношения
З
Здоровье
К
Кулинария-и-гостеприимство
Ф
Финансы-и-бизнес
П
Питомцы-и-животные
О
Образование
О
Образование-и-коммуникации
шогвшвгвшр
шогвшвгвшр
28.02.2023 11:39 •  Геометрия

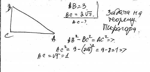
Впрямоугольном треугольнике гипотенуза равна 3,катет 2 корня из 2. найдите неизвестный катет треугольника

👇
Ответ:
Вано137
Вано137
28.02.2023
Такие задачки решал некий древний  (очень древний - 2600 лет назад жил) грек, чемпион олимпийских игр по панкратиону (то есть ему еще и в кулачном бою соперники сотрясения мозгов устраивали) Пифагор.

Впрямоугольном треугольнике гипотенуза равна 3,катет 2 корня из 2. найдите неизвестный катет треугол
4,4(42 оценок)
Открыть все ответы
Ответ:
safeon
safeon
28.02.2023
У прямоугольной трапеции 2 прямых угла, 1 тупой и 1 острый. Высота из тупого угла разбивает трапецию на прямоугольник и прямоугольный треугольник. Одна из сторон прямоугольника равна длине меньшего основания и равна 5. Один из катетов прямоугольного треугольника равен 22-5=17, а так как острый угол этого треугольника - 45 градусов, второй катет также равен 17. Второй катет является высотой и второй стороной прямоугольника. Таким образом, площадь прямоугольника равна 5*17=85, а площадь треугольника 17*17/2=289/2=144.5. Значит, суммарная площадь равна 144.5+85=229.5
4,8(11 оценок)
Ответ:
Moduev
Moduev
28.02.2023

4 и 4

Объяснение:

По свойству параллельных прямых и секущей сумма углов при одной стороне параллелограмма равна 180°. Следовательно, биссектрисы его соседних углов пересекаются под прямым углом. Поэтому четырехугольник, образованный четырьмя биссектрисами параллелограмма - прямоугольник.    Обозначим его вершины К, L, M и N.

Биссектрисы параллелограмма, являясь секущими,  отсекают от него равнобедренные треугольники  ( они делят углы пополам, и накрестлежащие углы тоже равны). Противоположные стороны параллелограмма равны =>

АВ=BQ=AT=CD=CR=DS=8   Тогда ВR=12-CR=4.  Аналогично  длина отрезков  QC,, DT,, AS равна 4.

Отрезки   QR и TS равны 12-2•4=4.  

По 1-му признаку равенства треугольников ∆ АВТ=∆ RCD и  ∆ ABQ=∆ СDS ⇒ их стороны и углы, заключённые между ними, равны.

В равнобедренном треугольнике биссектриса=высота=медиана. ⇒ BL=LT=RN=ND

Биссектрисы противоположных углов параллелограмма параллельны: ВТ║RD,  а BR║TD как лежащие на параллельных сторонах ABCD.

Из доказанного выше BL=RN. ⇒   BL=RN. ⇒

Четырехугольник BRNL – параллелограмм, ⇒LN=BR=4

LN - диагональ прямоугольника  KLMN. Диагонали прямоугольника равны.

КМ=LN=4 (ед. длины)

4,6(90 оценок)
Это интересно:
Новые ответы от MOGZ: Геометрия
logo
Вход Регистрация
Что ты хочешь узнать?
Спроси Mozg
Открыть лучший ответ