М
Молодежь
К
Компьютеры-и-электроника
Д
Дом-и-сад
С
Стиль-и-уход-за-собой
П
Праздники-и-традиции
Т
Транспорт
П
Путешествия
С
Семейная-жизнь
Ф
Философия-и-религия
Б
Без категории
М
Мир-работы
Х
Хобби-и-рукоделие
И
Искусство-и-развлечения
В
Взаимоотношения
З
Здоровье
К
Кулинария-и-гостеприимство
Ф
Финансы-и-бизнес
П
Питомцы-и-животные
О
Образование
О
Образование-и-коммуникации
златагирко
златагирко
09.04.2021 17:37 •  Геометрия

Дано abcd ромб, bd = 16 cm, ac = 12 cm, найти p and s ромба.

👇
Ответ:
FGHJER
FGHJER
09.04.2021
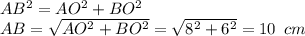
Дано: ABCD - ромб, BD = 12см, AC =12 см.
Найти: S_{ABCD} и P_{ABCD}
     Решение:
У ромба все стороны равны. О - точка пересечений диагоналей, делит диагоналей на отрезки пополам, тоесть:
BO = DO = BD/2 = 16/2 = 8 см, AO = OC = AC/2= 12/2 = 6 см.
С прямоугольного треугольника ABO (угол AOB = 90 градусов):
по т. Пифагора определим сторону ромба АВ
AB^2=AO^2+BO^2 \\ AB= \sqrt{AO^2+BO^2} = \sqrt{8^2+6^2} =10\,\,\, cm
Теперь осталось найти периметр и площадь ромба
Площадь ромба равна произведение диагоналей разделить на 2
S_{ABCD}= \frac{BD\cdot AC}{2} = \frac{16\cdot12}{2} =96 \,\,\, cm^2
А периметр ромба:
P_{ABCD}=4\cdot AB=4*10=40\,\,\, cm

ответ: S_{ABCD}=96\,\,\, cm^2, \,\,\,\,P_{ABCD}=40\,\,\,cm.
Дано abcd ромб, bd = 16 cm, ac = 12 cm, найти p and s ромба.
4,5(72 оценок)
Открыть все ответы
Ответ:
Билет № 2
3. В окружность вписан треугольник ABC так, что АВ - диаметр окружности. Найдите углы треугольника, если: а) ВС=134°
АВ - диаметр - > < C=90 < A=67 (вписанный угол) < B=180-90-67=23

Билет № 3
3. Сумма двух противоположных сторон описанного четырехугольника равна 12 см. а радиус вписанной в него окружности равен 5 см. Найдите площадь четырехугольника.
Так как четырехугольник описан вокруг окружности, то сумма других сторон равна 12
S=p*r=(a+b+c+d)*r/2=24*5/2=60

Билет № 4
3. Точка касания окружности, вписанной в равнобедренный треугольник, делит одну из боковых сторон на отрезки, равные 3 см и 4 см. считая от основания. Найдите периметр треугольника.
Дан треугольник ABC. AB=BC. M - точка касания вписанной окружности стороны АВ. N - точка касания вписанной окружности стороны ВC. K - точка касания вписанной окружности стороны АC. AM=3. MB=4.
В соответствии со свойством касательных, проведенных из одной точки к окружности
AM=AK CK=CN BM=BN
P=3+3+4+4+3+3=20

\sqrt[n]{x}
4,5(19 оценок)
Ответ:
LoveSammer
LoveSammer
09.04.2021
Билет № 2
3. В окружность вписан треугольник ABC так, что АВ - диаметр окружности. Найдите углы треугольника, если: а) ВС=134°
АВ - диаметр - > < C=90 < A=67 (вписанный угол) < B=180-90-67=23

Билет № 3
3. Сумма двух противоположных сторон описанного четырехугольника равна 12 см. а радиус вписанной в него окружности равен 5 см. Найдите площадь четырехугольника.
Так как четырехугольник описан вокруг окружности, то сумма других сторон равна 12
S=p*r=(a+b+c+d)*r/2=24*5/2=60

Билет № 4
3. Точка касания окружности, вписанной в равнобедренный треугольник, делит одну из боковых сторон на отрезки, равные 3 см и 4 см. считая от основания. Найдите периметр треугольника.
Дан треугольник ABC. AB=BC. M - точка касания вписанной окружности стороны АВ. N - точка касания вписанной окружности стороны ВC. K - точка касания вписанной окружности стороны АC. AM=3. MB=4.
В соответствии со свойством касательных, проведенных из одной точки к окружности
AM=AK CK=CN BM=BN
P=3+3+4+4+3+3=20

\sqrt[n]{x}
4,6(59 оценок)
Новые ответы от MOGZ: Геометрия
logo
Вход Регистрация
Что ты хочешь узнать?
Спроси Mozg
Открыть лучший ответ