М
Молодежь
К
Компьютеры-и-электроника
Д
Дом-и-сад
С
Стиль-и-уход-за-собой
П
Праздники-и-традиции
Т
Транспорт
П
Путешествия
С
Семейная-жизнь
Ф
Философия-и-религия
Б
Без категории
М
Мир-работы
Х
Хобби-и-рукоделие
И
Искусство-и-развлечения
В
Взаимоотношения
З
Здоровье
К
Кулинария-и-гостеприимство
Ф
Финансы-и-бизнес
П
Питомцы-и-животные
О
Образование
О
Образование-и-коммуникации
Анара2000
Анара2000
25.12.2022 15:18 •  Геометрия

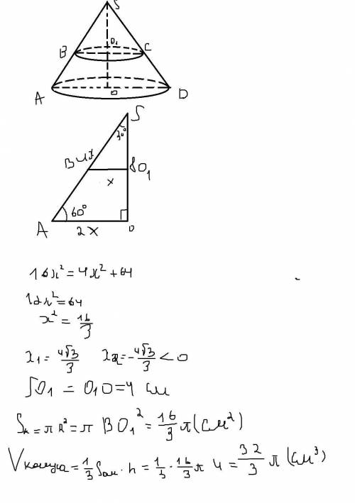
Узрізаному конусі відношення радіусів основ дорівнює 2,а твірна завдовжки 8 см утворює з площиною більшої основи кут 60 градусів. знайдіть об'єм зрізаного конуса

👇
Ответ:
Iraa26
Iraa26
25.12.2022

Объяснение:

вот


Узрізаному конусі відношення радіусів основ дорівнює 2,а твірна завдовжки 8 см утворює з площиною бі
4,5(28 оценок)
Открыть все ответы
Ответ:
polinavorkuta
polinavorkuta
25.12.2022
Добрый день! Конечно, я готов выступить в роли вашего школьного учителя и помочь решить данный математический вопрос.

У нас есть два подобных треугольника: треугольник abc и треугольник prt. Мы знаем, что стороны bc и rt являются сходственными, то есть они соотносятся в определенном соотношении. Для данной задачи это соотношение составляет 1:3, то есть длина стороны bc в 3 раза больше длины стороны rt.

Также известно, что стороны треугольника abc равны 7, 8 и 9. Мы должны найти наибольшую сторону треугольника prt.

Давайте рассмотрим соотношения между сторонами треугольников abc и prt. Так как стороны bc и rt являются сходственными, то отношение их длин должно быть таким же, как и отношение всех остальных сторон треугольников, то есть 1:3.

Поскольку стороны треугольника abc равны 7, 8 и 9, мы можем сделать предположение о длинах сторон треугольника prt. Давайте обозначим наибольшую сторону треугольника prt как x. Следовательно, отношение сторон треугольника prt будет равно x: (3x), то есть x/3x = 1/3.

Теперь нам нужно проверить, есть ли сторона треугольника abc, которая имеет такое же отношение с наибольшей стороной треугольника prt, то есть 7/x. Если это соотношение также равно 1/3, значит, наше предположение об x является верным.

Для этого мы можем решить уравнение: 7/x = 1/3. Чтобы найти значение x, мы можем умножить обе стороны на x и затем разделить на 1/3. Получается: x = 7 / (1/3) = 7 * (3/1) = 7 * 3 = 21.

Таким образом, наибольшая сторона треугольника prt равна 21.

Пожалуйста, обратите внимание, что я предоставил вам пошаговое решение для лучшего понимания. Надеюсь, что это поможет вам разобраться с задачей. Если у вас возникнут дополнительные вопросы, не стесняйтесь задавать их, и я с радостью помогу вам разобраться!
4,6(34 оценок)
Ответ:
KrisChuHD
KrisChuHD
25.12.2022
Для того чтобы найти уравнение прямой, проходящей через точки А и В, нам понадобятся их координаты. У нас есть точка А с координатами (1; 1) и точка В с координатами (2; 4).

В общем виде уравнение прямой выглядит как у = kx + b, где k - коэффициент наклона прямой, а b - свободный член. Нам необходимо найти значения k и b.

Шаг 1: Найдем коэффициент наклона k:
Коэффициент наклона прямой определяется как разность значений координат по оси y (вертикальной) и оси x (горизонтальной) между двумя точками на прямой. Используя точки А и В, получаем:
k = (y2 - y1) / (x2 - x1) ,где y1 = 1, x1 = 1, y2 = 4, x2 = 2.

Подставляем значения:
k = (4 - 1) / (2 - 1) = 3 / 1 = 3.

Шаг 2: Найдем свободный член b:
Чтобы найти значение b, необходимо подставить координаты одной из точек (например, точки А) в уравнение прямой и решить уравнение относительно b.

Используя координаты точки А (1; 1):
1 = 3 * 1 + b.

Решаем уравнение:
1 = 3 + b.
b = 1 - 3 = -2.

Таким образом, мы нашли значения k = 3 и b = -2.

Итак, уравнение прямой выглядит следующим образом:
у = 3х - 2.

Ответ: Уравнение прямой, проходящей через точки А(1; 1) и В(2; 4), равно у = 3х - 2.
4,7(70 оценок)
Новые ответы от MOGZ: Геометрия
logo
Вход Регистрация
Что ты хочешь узнать?
Спроси Mozg
Открыть лучший ответ