М
Молодежь
К
Компьютеры-и-электроника
Д
Дом-и-сад
С
Стиль-и-уход-за-собой
П
Праздники-и-традиции
Т
Транспорт
П
Путешествия
С
Семейная-жизнь
Ф
Философия-и-религия
Б
Без категории
М
Мир-работы
Х
Хобби-и-рукоделие
И
Искусство-и-развлечения
В
Взаимоотношения
З
Здоровье
К
Кулинария-и-гостеприимство
Ф
Финансы-и-бизнес
П
Питомцы-и-животные
О
Образование
О
Образование-и-коммуникации
Rhhufyko
Rhhufyko
21.11.2021 20:48 •  Геометрия

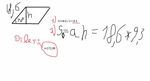
Сторона ромба равна 18,6см а один из углов ромба равен 30градусов найдите площадь ромба с рисунком

👇
Ответ:
Mileshka141
Mileshka141
21.11.2021
..............................................|
S=172,98                               |
..............................................|
Сторона ромба равна 18,6см а один из углов ромба равен 30градусов найдите площадь ромба с рисунком
4,7(73 оценок)
Открыть все ответы
Ответ:
elenafink69
elenafink69
21.11.2021
1)г.
2)б.
3)а.
4)в.
5)я прикрепила картинку к этому заданию.Не забудь написать «Дано: треугольникABC; a=7;b=8;c=5. Найти : <А-?» ответ , кстати , в конце <А=60 градусов.(просто не поместилось.)
6)AB=10x​

​S=pr​

​p=13x+13x+10x2=18x​

​S=p(p−13x)(p−13x)(p−10x)‾‾‾‾‾‾‾‾‾‾‾‾‾‾‾‾‾‾‾‾‾‾‾‾‾‾‾√​ — по формуле Герона.

приравниваем два равенства и находим х

​10∗18x=p(p−13x)(p−13x)(p−10x)‾‾‾‾‾‾‾‾‾‾‾‾‾‾‾‾‾‾‾‾‾‾‾‾‾‾‾√​180x=18x∗5x∗5x∗8x‾‾‾‾‾‾‾‾‾‾‾‾‾‾‾‾‾√

​180x=60x2​

​x=3​

​AB=10x=30​

ответ: 30

7) если СК биссектриса, то по ее свойству если СЕ/СВ=3:1 то и КЕ:ВК=3:1
Обозначим ВК=у, КЕ=3у значит, ВЕ=4у
т.к. угол ВОЕ центральный для угла С, то он=120 и тогда ∠ВОК=60
ВМ=ВО*sin 60
BM=8√3*√3/2=12 ВЕ=4у=24 ⇒ у=6 3у=3*6=18

8) 1. Теорема синусов для треугольника КОР KP/sin KOP=OP/sin OKP sin OKP=3*sqrt2*sqrt2/2/5=3/5 cos^2(OKP)=1-sin^2(OKP)=(4/5)^2 Т.к. КОР тупой, то ОКР острый, cos OKP=4/5
2. sin OPK=sin(180-KOP- OKP)=sin(KOP+OKP)=sin KOP*cos OKP+cos KOP*sin OKP sin OPK=sqrt2/2*(4/5-3/5)=sqrt2/10
3. S(KMP)=2*S(KOP)=OP*KP*sin OPK=3*sqrt2*5* sqrt2/10=3

9) Если диагонали трапеции перпендикулярны, то площадь можно найти по следующим формулам: S-Һв квадрате, где һ-высота или S-(a+b)в квадрате/4, где а иb -основания Воспользуемся последней формулой!Т к дана длина ср линии трапеции, то можно найти сумму длин оснований трапеци: ср линия3 1/2(а+b); 5%31/2(а+b); (а+b)-10см Найдем S- (а+b)в квадрате/4 %3D10в квадрате/ 4-25см2

10)в.
4,4(92 оценок)
Ответ:
Oks111111
Oks111111
21.11.2021
Находим угол АОВ с учетом того, что АО и ОВ - биссектрисы углов А и В (по свойству центра вписанной окружности):
АОВ = 180-(1/2)А-(1/2)В = 180-((1/2)(А+В)) = 180-((1/2)(180-60) =
= 180-90+30 = 120°.
Зная 2 стороны и угол, находим сторону АВ треугольника АОВ:
АВ =√(6²+10²-2*6*10*cos120) = √36+100-120*(-1/2)) = √196 = 14 см.
Зная стороны треугольника АОВ, находим углы А и В (А = 2*ВАО, В =2*АВО) по теореме синусов.
sin BAO = sin120*10/14 =  0.866025*10/14 =  0.6185896°.
Угол ВАО = arc sin  0.6185896 =  0.6669463 радиан = 38.213211°
Угол А = 2* 38.213211 =  76.426421°.
sin ВAO = sin120*6/14 =  0.3711537.
Угол ВАО = arc sin  0.3711537 =  0.3802512 радиан = 21.786789°.
Угол В = 2*  21.786789 =  43.573579°.
Зная углы треугольника АВС и одну сторону АВ = 14 см, находим 2 другие по теореме синусов:
ВС = 14*sin A /sin C = 14* 0.972069 /  0.866025 =   15.71428571 см.
АС = 14*sin В /sin C = 14* 0.6892855 /  0.866025 =   11.14285714 см.
Находим площадь треугольника АВС по формуле Герона:
S = √(p(p-a)(p-b)(p-c)) =  75.82141 см².
Здесь р = (а+в+с)/2 =  20.428571 см.
Радиус описанной окружности R = abc / 4S =  8.0829038 см.
4,8(19 оценок)
Это интересно:
Новые ответы от MOGZ: Геометрия
logo
Вход Регистрация
Что ты хочешь узнать?
Спроси Mozg
Открыть лучший ответ