BK=
. Значит, DK=2NK=2
. Считаем площадь равнобедренного ADC=
=6
. Получаем, наконец, площадь полной поверхности: 3
+3*6
=21
(площадь основания плюс площади трех боковых граней).
. И наконец, V=9
ответ:8 см
Объяснение:
Пусть дана окружность с центром в т.О. Проведем прямую, которая пересечет окружность в т. А и т.В, т.о. АВ - хорда, АВ = 12 см. Т.к. т.А и В лежат на окружности, то ОА = ОВ = 10 см - это радиусы окружности. Получим треугольник АОВ - равнобедренный, АВ - основание. Проведем ОК ⊥ АВ, ОК - расстояние от центра до хорды. Значит ОК - медиана , АК = ВК = 12 : 2 = 6 см. Рассмотрим треугольник ОКА - прямоугольный и найдем ОК используя теорему Пифагора.
ОК² = ОА² - АК² , ОК² = 100 - 36 = 64 см², ОК = корень из 64 = 8 см
ответ: 8см
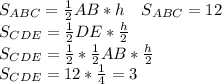
1) AB=2DE
2) Средняя линия делит высоту пополам.
ответ: Площадь CDE равна 3 см кв