М
Молодежь
К
Компьютеры-и-электроника
Д
Дом-и-сад
С
Стиль-и-уход-за-собой
П
Праздники-и-традиции
Т
Транспорт
П
Путешествия
С
Семейная-жизнь
Ф
Философия-и-религия
Б
Без категории
М
Мир-работы
Х
Хобби-и-рукоделие
И
Искусство-и-развлечения
В
Взаимоотношения
З
Здоровье
К
Кулинария-и-гостеприимство
Ф
Финансы-и-бизнес
П
Питомцы-и-животные
О
Образование
О
Образование-и-коммуникации
Kiralex71
Kiralex71
29.09.2020 04:40 •  Геометрия

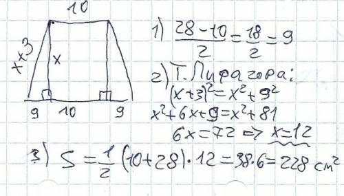
Основания равнобедренной трапеции равны 10 см и 28 см,а ее высота на 3 см короче боковой стороны. найти площадь трапеции.

👇
Ответ:
Gjvjub000
Gjvjub000
29.09.2020
Площадь трапеции равна 228 см^2. Решение в файле. Будут вопросы, спрашивайте ))

Основания равнобедренной трапеции равны 10 см и 28 см,а ее высота на 3 см короче боковой стороны. на
4,6(5 оценок)
Ответ:
Я составил полное условие, как это положено делать, а так задача очень легкая, такие устно решать нужно!
Основания равнобедренной трапеции равны 10 см и 28 см,а ее высота на 3 см короче боковой стороны. на
4,5(66 оценок)
Открыть все ответы
Ответ:
Vanja81728
Vanja81728
29.09.2020

Объем пирамиды: V=(1/3)*So*H, где So - площадь основания пирамиды, H - высота пирамиды. Объем и высота нам даны, найдем площадь основания. So = 48*3/4 = 36 ед². Пирамида правильная, значит в основании лежит квадрат со стороной а = √36 = 6ед, а вершина пирамиды проецируется в центр основания - точку пересечения его  диагоналей. Боковые грани нашей пирамиды - равные равнобедренные треугольники. Найдем высоту грани (апофему) из прямоугольного треугольника, образованного высотой пирамиды, половиной стороны основания (катеты) и апофемой (гипотенуза). Ап = √(3²+4²) =5ед.

Тогда площадь одной боковой грани равна Sгр=(1/2)*а*Ап или Sгр=(1/2)*6*5 = 15ед², а площадь боковой поверхности равна

Sбок = 4*Sгр. = 60 ед².

ответ: Sбок = 60 ед².


Объем правильной четырёхугольной пирамиды 48, высота равна 4. найдите площадь боковой поверхности пи
4,4(98 оценок)
Ответ:
mivliev38p08iax
mivliev38p08iax
29.09.2020

Доказательства в объяснении.

Объяснение:

Определения: "Ортогональной проекцией фигуры F на плоскость p называется множество всех точек плоскости, являющихся ортогональными проекциями множества точек фигуры F на плоскость p.  Ортогональной проекцией точки D на плоскость p называется основание C перпендикуляра DC, опущенного из точки D на плоскость p".

Свойство: "Каждая точка плоскости проекции отображается на себя".

Пусть плоскость, содержащая треугольник АВС  - плоскость "р".

Тогда:

a) Треугольник АВС является проекцией треугольника ADB на плоскость "р" по определению и свойству ортогональной проекции, так как точка С является проекцией точки D на плоскость р, а точки А и В лежат в плоскости р, то есть отображаются сами на себя.

б) Опустим перпендикуляр СH (высоту треугольника АВC) на прямую АВ. По теореме о трех перпендикулярах наклонная DH перпендикулярна прямой АВ, так как проекция СН этой наклонной перпендикулярна прямой АВ. Следовательно, наклонная DН является высотой треугольника АВD. Что и требовалось доказать.


Прямая cd перпендикулярна к плоскости треугольника авс. докажите, что: а) треугольник абс является п
4,7(50 оценок)
Это интересно:
Новые ответы от MOGZ: Геометрия
logo
Вход Регистрация
Что ты хочешь узнать?
Спроси Mozg
Открыть лучший ответ