М
Молодежь
К
Компьютеры-и-электроника
Д
Дом-и-сад
С
Стиль-и-уход-за-собой
П
Праздники-и-традиции
Т
Транспорт
П
Путешествия
С
Семейная-жизнь
Ф
Философия-и-религия
Б
Без категории
М
Мир-работы
Х
Хобби-и-рукоделие
И
Искусство-и-развлечения
В
Взаимоотношения
З
Здоровье
К
Кулинария-и-гостеприимство
Ф
Финансы-и-бизнес
П
Питомцы-и-животные
О
Образование
О
Образование-и-коммуникации
Карина162005
Карина162005
18.05.2023 17:15 •  Геометрия

Составьте уравнение перпендикуляра к плоскости х-3y+2z-26=0 подходящего через точку (-2; 2; -4) найдите координаты основания этого перпендикуляра

👇
Ответ:
ilyavladimirov1
ilyavladimirov1
18.05.2023

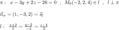
\pi :\; \; x-3y+2z-26=0\; \; ,\; \; M_0(-2,2,4)\in l\; \; ,\; \; l\perp \pi \\\\\vec{n}_{\pi }=(1,-3,2)=\vec{s}_{l}\\\\l:\; \; \frac{x+2}{1}=\frac{y-2}{-3}=\frac{z-4}{2}

4,7(18 оценок)
Открыть все ответы
Ответ:
1. Раз BAD = 90 градусов и ABD = 45 градусов, то оставшийся угол ADB= 180-90-45=45 градусов.
2. Судя по этим углам, можно заключить, что AD = AB, а раз AB = AC = BC, то AD = AB = BC = AC.
3. Раз в треугольнике AD = AC, то и угол ADC = угол ACD.
4. В треугольнике ABC угол A = угол B = угол C = 180/3 = 60 градусов.
5. В треугольнике ACD, как и всегда, сумма углов = 180 градусов. Но раз там угол D = угол C, то возьмём один из них за х. Получается, что х+х+90(угол DAB)+60(угол BAC) = 180.
180-90-60=2х
30=2х
х=15 градусов = угол ACD = ADC.
6. Угол D, как было указано в пункте №1, равен 45 градусам. Этот угол состоит из угла ADC (15 градусов) и угла CDB (который нам и надо найти). Получается, что:
45=15+CDB
CDB = 30 градусов
На рисунке треугольник авс правильный вад=90 а авд=45 чему равен сдб (если что 90 и 45 то градусы)
4,7(40 оценок)
Ответ:
Лена467744
Лена467744
18.05.2023
Начертите прямоугольный треугольник и опишите вокруг него окружность.
Любой прямоугольный треугольник опирается на диаметр описанной окружности, т.е. его гипотенуза = диаметру окружности.
Следовательно, медиана, которая делит гипотенузу пополам, будет падать на середину диаметра - т.е. центр окружности. Половины диаметра - это радиусы окружности.
Т.к. вершина прямого угла треугольника лежит на окружности, а медиана падает в её центр, значит медиана - это радиус окружности.
Радиус одинаков по всей окружности.
А если медиана - это радиус, и половины гипотенузы - тоже радиусы, делаем вывод, что медиана равна половине гипотенузы.
Т.е. гипотенуза в целом будет равна 2-м медианам: 8+8=16.

Медиана прямоугольного треугольника проведенная к гипотенузе равна8 найти длину гипотенузы
4,4(55 оценок)
Новые ответы от MOGZ: Геометрия
logo
Вход Регистрация
Что ты хочешь узнать?
Спроси Mozg
Открыть лучший ответ