М
Молодежь
К
Компьютеры-и-электроника
Д
Дом-и-сад
С
Стиль-и-уход-за-собой
П
Праздники-и-традиции
Т
Транспорт
П
Путешествия
С
Семейная-жизнь
Ф
Философия-и-религия
Б
Без категории
М
Мир-работы
Х
Хобби-и-рукоделие
И
Искусство-и-развлечения
В
Взаимоотношения
З
Здоровье
К
Кулинария-и-гостеприимство
Ф
Финансы-и-бизнес
П
Питомцы-и-животные
О
Образование
О
Образование-и-коммуникации
samyi116umni
samyi116umni
26.09.2022 05:55 •  Геометрия

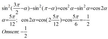
Стригонометрией? sin^2(3п/2+a)-sin^2(п-a), при а=5п/12 п-пи а-альфа

👇
Ответ:
dhwaaо
dhwaaо
26.09.2022
**********************************
Стригонометрией? sin^2(3п/2+a)-sin^2(п-a), при а=5п/12 п-пи а-альфа
4,8(15 оценок)
Открыть все ответы
Ответ:
staennayanina
staennayanina
26.09.2022

1))). Если луч есть биссектриса угла, то любая точка его равноудалена от сторон этого угла.

2))). Прямую, проходящую через середину отрезка перпендикулярно к нему, называют серединным перпендикуляром к отрезку.

Свойства серединных перпендикуляров треугольника  

Каждая точка серединного перпендикуляра к отрезку равноудалена от концов этого отрезка.

Точка пересечения серединных перпендикуляров, проведенных к сторонам треугольника, является центром окружности, описанной около этого треугольника.

3))). 1. Точка пересечения биссектрис треугольника- центр вписанной окружности ;

2. Точка пересечения серединных перпендикуляров треугольника- центр описанной окружности ;

3. Точка пересечения медиан треугольника (медианы треугольника пересекаются в отношении 2:1) 

4. Точка пересечения высот треугольника - ортоцентр фигуры (центр вписанной и описанной окружности).

Объяснение:

4,4(60 оценок)
Ответ:
Ivan856IgR
Ivan856IgR
26.09.2022

Предположим, это треугольник ABC, в котором угол А тупой, а из угла В опущена высота на основание АС. Если продлить основание АС, то высота пересечется с продленным основанием в точке, которую назовем Н. Тогда по условию угол НВА=14 градусов, а угол НВС=38 градусов.

Угол ВНС=90 градусов.

АВС=НВС-НВА, следовательно, АВС=38-14=24 градуса.

В прямоугольном треугольнике НВС сумма углов составляет 180 градусов. Следовательно, ВСА=ВСН=180-38-90=52 градуса

В треугольнике АВС сумма углов равна 180 градусов, следовательно, ВАС= 180-52-24=104 градуса

Объяснение:

4,7(22 оценок)
Это интересно:
Новые ответы от MOGZ: Геометрия
logo
Вход Регистрация
Что ты хочешь узнать?
Спроси Mozg
Открыть лучший ответ