М
Молодежь
К
Компьютеры-и-электроника
Д
Дом-и-сад
С
Стиль-и-уход-за-собой
П
Праздники-и-традиции
Т
Транспорт
П
Путешествия
С
Семейная-жизнь
Ф
Философия-и-религия
Б
Без категории
М
Мир-работы
Х
Хобби-и-рукоделие
И
Искусство-и-развлечения
В
Взаимоотношения
З
Здоровье
К
Кулинария-и-гостеприимство
Ф
Финансы-и-бизнес
П
Питомцы-и-животные
О
Образование
О
Образование-и-коммуникации
cangelina2025
cangelina2025
16.03.2020 20:34 •  Геометрия

Втреугольнике abc угол с 90 sin a = корень из 7/4 . найдите sin b

👇
Ответ:
NataliZotow
NataliZotow
16.03.2020

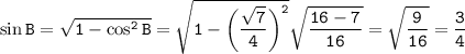
\tt \sin \angle A=\cos \angle B=\dfrac{\sqrt{7}}{4}

Из основного тригонометрического тождества найдем синус угла В

\tt \sin B=\sqrt{1-\cos^2B} =\sqrt{1-\bigg(\dfrac{\sqrt{7}}{4}\bigg)^2} \sqrt{\dfrac{16-7}{16}}=\sqrt{\dfrac{9}{16}}=\dfrac{3}{4}



Втреугольнике abc угол с 90 sin a = корень из 7/4 . найдите sin b
4,6(100 оценок)
Открыть все ответы
Ответ:
pinsker025
pinsker025
16.03.2020

1)Пусть х см - a

(3х)см-b

S=ab

3x^2=27

x1=-3 -не удовлетворяет,так как <0

x2=3

а=3 см

b=9 см

ответ:3 см;9 см

 

2)Sквадрата=а^2

а^2=64 см

а=8 см

Р=а*4

Р=8*4=32 см

ответ:32 см

 

3)У ромба все стороны равны,а сторон 4.

Р=4*а

а=16:4

а=4 см

 

S=а*h(высота)

16=4*h

h=4 см

ответ:4 см

 

4)S=1/2 *AB(гипотенуза)*h(высота) 

1/2*АВ*4=40

АВ=20 см

ответ:20 см

 

5)Так как трапеция прямоугл.,то большая сторона и является высотой

S=(ВС+AD)/2 *h(высота)

S=(5+13)/2*10

S=90 см^2

ответ:90 см^2

 

6)Сумма углов многоугольника равна 180*(n-2),где n-количество сторон

у нас сумма углов 180*3=540 градусов

Пусть х градусов приходится на одну часть

15х=36

х=36 градусов

36 градусов-первый угол

72 градусов-2 угол

108 градусов-3 угол

144 градуса-4 угол

180 градуса-5 угол

 

8)пусть 1 катет-х см, 2 катет-(х+2)

По теореме Пифагора находим х

х^2+x^2+4x+4=100

x^2+2x-48=0

D=49

x1=-8 - <0 не удовлетворяет

х2=6

1 катет-6 см

2 катет-8 см

Площадь прямоугольного треугольника равна половине произведения катетов.

S=6*8/2=24 кв.см.

ответ:24 кв.см.

 

 

4,5(62 оценок)
Ответ:
nyk156
nyk156
16.03.2020
В рассуждениях нужно использовать признаки делимости...
кратное 18 ---> оно делится на 2 и на 9
т.е. оно четное --- заканчивается на 0 или 2 или 4 или 6 или 8
и сумма цифр числа делится на 9 (это признак делимости на 9)))
получим варианты:
a b с d 0
a b с d 2
a b с d 4
a b с d 6
a b с d 8
и теперь второе условие: соседние цифры отличаются на 2
для первого варианта: a b с 2 0,     a b 0 2 0 или a b 4 2 0
a+b+2 = 9 или a+b+4+2 = 9
a+b = 7              a+b = 3 ---> 12420, например
18 * 690 = 12420
но, первые цифры не на 2 отличаются... не получилось...
но смысл рассуждений такой же)))
пробуем еще...
у меня получилось:
24246 / 18 = 1347
можно попробовать и еще найти...
4,6(94 оценок)
Это интересно:
Новые ответы от MOGZ: Геометрия
logo
Вход Регистрация
Что ты хочешь узнать?
Спроси Mozg
Открыть лучший ответ