М
Молодежь
К
Компьютеры-и-электроника
Д
Дом-и-сад
С
Стиль-и-уход-за-собой
П
Праздники-и-традиции
Т
Транспорт
П
Путешествия
С
Семейная-жизнь
Ф
Философия-и-религия
Б
Без категории
М
Мир-работы
Х
Хобби-и-рукоделие
И
Искусство-и-развлечения
В
Взаимоотношения
З
Здоровье
К
Кулинария-и-гостеприимство
Ф
Финансы-и-бизнес
П
Питомцы-и-животные
О
Образование
О
Образование-и-коммуникации
MadamHlebushek11
MadamHlebushek11
25.11.2020 15:17 •  Геометрия

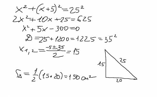
1. найти площадь прямоугольного треугольника, если известно, что один из его катетов на 5 см больше другого, а гипотенуза равна 25 см.

👇
Ответ:
AnjelikaM1
AnjelikaM1
25.11.2020
...................................................
1. найти площадь прямоугольного треугольника, если известно, что один из его катетов на 5 см больше
4,8(38 оценок)
Ответ:
strange0311
strange0311
25.11.2020
Привет! Я рад, что ты обратился ко мне с таким интересным вопросом. Давай решим эту задачу вместе!

В задаче нам дано, что один из катетов прямоугольного треугольника на 5 см больше другого. Обозначим меньший катет как "x" см. По условию задачи мы знаем, что второй катет будет равен "x + 5" см.

Также нам известно, что гипотенуза треугольника равна 25 см.

Мы можем использовать теорему Пифагора, чтобы решить эту задачу. Теорема Пифагора гласит: в прямоугольном треугольнике квадрат длины гипотенузы равен сумме квадратов длин катетов.

Используя это, мы можем записать уравнение:

x^2 + (x + 5)^2 = 25^2

Решим это уравнение шаг за шагом:

1. Раскроем скобки:

x^2 + (x^2 + 10x + 25) = 625

2. Сложим подобные члены:

2x^2 + 10x + 25 = 625

3. Перенесем все в одну сторону:

2x^2 + 10x + 25 - 625 = 0

4. Упростим:

2x^2 + 10x - 600 = 0

5. Теперь нам нужно решить это квадратное уравнение. Для этого мы можем использовать формулу дискриминанта:

Дискриминант = b^2 - 4ac

где a = 2, b = 10 и c = -600.

6. Подставим значения в формулу и найдем дискриминант:

Дискриминант = 10^2 - 4 * 2 * (-600) = 100 + 4800 = 4900

7. Дискриминант положительный, значит, у нас есть два корня.

8. По формуле корней квадратного уравнения, мы можем найти значения x:

x = (-b ± √Дискриминанта) / 2a

x = (-10 ± √4900) / 2 * 2

x = (-10 ± 70) / 4

1-й корень: x = (-10 + 70) / 4 = 60 / 4 = 15

2-й корень: x = (-10 - 70) / 4 = -80 / 4 = -20

Так как длина катета не может быть отрицательной, мы выбираем положительное значение для x.

Значит, меньший катет равен 15 см, а больший катет равен 15 + 5 = 20 см.

Теперь, чтобы найти площадь прямоугольного треугольника, мы можем использовать формулу:

Площадь = 0.5 * a * b

где a и b - длины катетов.

Подставим значения:

Площадь = 0.5 * 15 * 20 = 150 см²

Таким образом, площадь этого прямоугольного треугольника равна 150 см².

Надеюсь, это решение помогло тебе понять, как решить эту задачу! Если у тебя есть еще вопросы, не стесняйся задавать!
4,6(63 оценок)
Проверить ответ в нейросети
Это интересно:
Новые ответы от MOGZ: Геометрия
logo
Вход Регистрация
Что ты хочешь узнать?
Спроси Mozg
Открыть лучший ответ