- новая сторона
- новая высота




ответ: S(бок) - 27
см²
Объяснение:
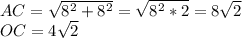
Надо вычислить апофему и сторону основания.
1. Найдем апофему.
В правильной треугольной пирамиде, высота падает на точку пересечения медиан (в центр вписанной окружности, но в этом случае он совпадает с точкой пересечения медиан и это облегчает задачу).
Найдем отрезок медианы ОВ:
ОВ^2 = MB^2 - MO^2 = 18-6 =12
Тогда ОВ = 2
см. Прямо отсюда видно, что ОМ =
В точке пересечения медиана делится в соотношении 2:1 начиная от вершины, поэтому ОВ =
ВН, отсюда ВН =
ОВ =
Значит отрезок ОМ = 4,5-3=
см
Из треугольника МОН апофема будет МН^2=OH^2 +OM^2 = 6+3 = 9
МН= 3 см
2. Найдем сторону. Медиана ВН делит сторону пополам (обозначим сторону а) . С учетом этого из прямоугольного треугольника АВН
a^2 - (a/2)^2 = BH^2 или
27, тогда а= 6 см
Площадь одной грани
S₁ = 0,5*a*BH = 0,5*6*3*
= 9
А всех трех
S(бок) = 3*S₁ = 3*9
= 27
В нашем случае:
После уменьшения величин:
Сравним былой объем и ставший:
ответ: Объем уменьшился в
2) Смотрим рисунок.
Рассмотрим Δ
Рассмотрим Δ
Рассмотрим Δ
ответ: