М
Молодежь
К
Компьютеры-и-электроника
Д
Дом-и-сад
С
Стиль-и-уход-за-собой
П
Праздники-и-традиции
Т
Транспорт
П
Путешествия
С
Семейная-жизнь
Ф
Философия-и-религия
Б
Без категории
М
Мир-работы
Х
Хобби-и-рукоделие
И
Искусство-и-развлечения
В
Взаимоотношения
З
Здоровье
К
Кулинария-и-гостеприимство
Ф
Финансы-и-бизнес
П
Питомцы-и-животные
О
Образование
О
Образование-и-коммуникации
lionlioness
lionlioness
29.01.2020 18:53 •  Геометрия

Свинцовый цилиндр переплавили в конус с таким же основанием. высота цилиндра 3 см. чему равна высота конуса​

👇
Ответ:
sie27
sie27
29.01.2020

Если свинцовый цилиндр переплавили в конус, то его означает, что эти две фигуры друг-другу равновелики, то есть у них равны объёмы:

Vкон=V=цил

У них также равны основания, поэтому также равны и радиусы оснований.

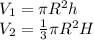
Обозначим высоту конуса, как Н, высоту цилиндра h, объём цилиндра V₁, a объём конуса V₂. Тогда получится:

V_1=\pi R^2h\\V_2=\frac13\pi R^2H

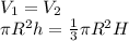
Поскольку объемы равны, то будет:

V_1=V_2\\\pi R^2h=\frac13\pi R^2H

С обеих сторон сокращаем πR², и получится:

h=\frac13H

Тогда высота конуса Н, равна:

H=3h=3*3=9 CM

ответ: 9 см.

Удачи и успехов)!

4,6(82 оценок)
Открыть все ответы
Ответ:
KasiaW
KasiaW
29.01.2020
Дано: АВС - прямоугольный треугольник, угол С = 90 градусов. АС = 6, ВС = 8см. О - центр вписанной окружности, О₁ - центр описанной окружности.
Найти: AB, r, R, sin A, sin B, cos A, cos B, tg A, tg B, ctgA ,ctg B/
  Решение:
1) По т. Пифагора определим гипотенузу
AB^2=AC^2+BC^2 \\ AB= \sqrt{AC^2+BC^2} = \sqrt{6^2+8^2} =10

2) Радиус описанной окружности в 2раза меньше гипотенузы, тоесть
R= \frac{AB}{2} = \frac{10}{2} =5
3) Радиус вписанной оружности
r= \frac{AC+BC-AB}{2} = \frac{6+8-10}{2} =2
3) Синус угла - это отношение противолежащего катета к гипотенузе, тоесть:
\sin A= \frac{BC}{AB} = \frac{8}{10} = 0.8 \\ \sin B= \frac{AC}{AB} = \frac{6}{10} =0.6{
4)Косинус угла - это отношение прилежащего катета к гипотенузе, тоесть:
\cos A= \frac{AC}{AB} = \frac{6}{10} = \frac{3}{5} =0.6
\cos B= \frac{BC}{AB} = \frac{8}{10} =0.8
5) Тангенс угла - это отношение противолежащего катета к прилежащему катету
tg\, A= \frac{BC}{AC} = \frac{8}{6} = \frac{4}{3} =1 \frac{1}{3} \\ tg\, B= \frac{AC}{BC} = \frac{6}{8} =0.75
5) Котангенс угла - это отношение прилежащего катета к противолежащему катету
ctg \, A= \frac{AC}{BC} = \frac{6}{8} =0.75 \\ ctg \, B= \frac{BC}{AD} =1 \frac{1}{3}

Abc- прямоуг трейгольник его катеты 6 и 8 .найти гипотенузу ,площадь ,радиус вписанной описанной окр
4,4(8 оценок)
Ответ:
Лисичка6661
Лисичка6661
29.01.2020
Гипотенуза прямоугольного треугольника — это сторона, лежащая напротив прямого угла. Катеты — стороны, лежащие напротив острых углов. Катет, лежащий напротив угла, называется противолежащим (по отношению к углу ). Другой катет, который лежит на одной из сторон угла, называется прилежащим. Синус острого угла в прямоугольном треугольнике — это отношение противолежащего катета к гипотенузе. Косинус острого угла в прямоугольном треугольнике — отношение прилежащего катета к гипотенузе. Тангенс острого угла в прямоугольном треугольнике — отношение противолежащего катета к прилежащему. Другое (равносильное) определение: тангенсом острого угла называется отношение синуса угла к его косинусу.
Котангенс острого угла в прямоугольном треугольнике — отношение прилежащего катета к противолежащему (или, что то же самое, отношение косинуса к синусу).
4,7(58 оценок)
Новые ответы от MOGZ: Геометрия
logo
Вход Регистрация
Что ты хочешь узнать?
Спроси Mozg
Открыть лучший ответ