М
Молодежь
К
Компьютеры-и-электроника
Д
Дом-и-сад
С
Стиль-и-уход-за-собой
П
Праздники-и-традиции
Т
Транспорт
П
Путешествия
С
Семейная-жизнь
Ф
Философия-и-религия
Б
Без категории
М
Мир-работы
Х
Хобби-и-рукоделие
И
Искусство-и-развлечения
В
Взаимоотношения
З
Здоровье
К
Кулинария-и-гостеприимство
Ф
Финансы-и-бизнес
П
Питомцы-и-животные
О
Образование
О
Образование-и-коммуникации
t4dhjnd1u24ytgh
t4dhjnd1u24ytgh
22.06.2020 18:17 •  Геометрия

Окружности s1 и s2 с центрами в точках о1 и о2 и радиусами 5 и 12 соответственно пересекаются в точках а и в. прямая о2в является касательной к окружности s1. прямая о1а вторично пересекает окружность s1 в точке c. прямая о2а вторично пересекает окружность s2 в точке d. касательная к окружности s2 в точке d и прямая о1о2 пересекаются в точке е. найдите площадь четырёхугольника edco1.

👇
Ответ:
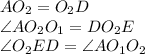
  Угол \angle O_{1}BO_{2} = 90а , откуда    O_{1}O_{2} = \sqrt{12^2+5^2}=13O_{1}A=5 , \ \ \ O_{2}A=12 
Значит угол \angle CAD = \ \angle O_{1}BO _{2} = 90а \\
          
AO_{2} = O_{2}D\\
 \angle AO_{2}O_{1} = DO_{2}E \\
 \angle O_{2}E D = \angle AO_{1}O_{2}   
Из подобия треугольников \Delta AO_{1}O_{2} , \Delta O_{2}DE 
\frac{ED}{5}=1\\
 ED=5                    
 \frac{12}{sin\angle AO_{1}O_{2}} = 13 \\
 sin\angle AO_{1}O_{2}= \frac{12}{13} \\
\angle CO_{1}B = 180а - 2*arcsin(\frac{12}{13}) 
   \angle O_{1}O_{2}B = arcsin\frac{5}{13} \\
 \angle O_{2} = 180а - 2*arcsin \frac{5}{13}  
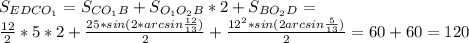
       S_{EDCO_{1}} = S_{CO_{1}B} + S_{O_{1}O_{2}B } * 2 + S_{BO_{2} D } = \\
 \frac{12}{2}*5*2 + \frac{25*sin( 2*arcsin\frac{12}{13} ) }{2} + \frac{12^2*sin(2arcsin\frac{5}{13})}{2} = 60 + 60 = 120      
                                                                
  
                
4,7(74 оценок)
Открыть все ответы
Ответ:

Объяснение:

а ; b - катеты

С-гипотенуза

6)

а=b=6 см, т. к <45 градусов

С=корень (a^2+b^2)

С= корень (6^2+6^2)=6корень2

7)

C=10 cм

Х^2=с^2-х^2

Х^2+х^2=с^2

2×Х^2=с^2

Х^2=с^2/2

Х=корень (С^2/2)=С×корень(1/2)=

=(С×корень 2)/2=(10×корень 2)/2=

=5×корень2

8)

Катет лежащий против угла 30 равен половине гипотенузе :

b=c:2=8:2=4

a=корень (с^2-b^2)=корень (8^2-4^2)=

=корень (64-16)=корень 48=4корень3

9)

b=7 cм

<вета=90-60=30 градусов

Катет лежащий против угла 30 равен половине гипотенузе :

С=2×b=2×7=14 cм

а=корень (с^2-b^2)=корень (14^2-7^2)=

=корень (196-49)=корень147=7корень3

4,8(38 оценок)
Ответ:
frolovbogdan122
frolovbogdan122
22.06.2020

Дано:

∠AOB и ∠BOC - смежные

∠AOB = ∠BOC + 44°

Найти:

∠AOB - ?

∠BOC - ?

Пусть ∠AOB = (x)°, тогда ∠BOC = (x - 44)°. Сумма смежных углов всегда равна 180°.

Составим и решим уравнение:

x + x - 44 = 180;

2x = 180 + 44;

2x = 224;

x = 224 ÷ 2;

x = 112 ⇒∠AOB = 112°.

Угол ∠BOC можем найти двумя .

(1) Либо подставим найденное значение х в уравнение ∠BOC = (x - 44)°:

∠BOC = (112 - 44)° = 68°.

(2) Либо воспользуемся тем, что сумма смежных углов равна 180°:

∠AOB + ∠BOC = 180° ⇒

⇒ ∠BOC = 180° - ∠AOB = 180° - 112° = 68°.

ответ: ∠AOB = 112°, ∠BOC = 68°.

Удачи Вам! :)

4,5(100 оценок)
Это интересно:
Новые ответы от MOGZ: Геометрия
logo
Вход Регистрация
Что ты хочешь узнать?
Спроси Mozg
Открыть лучший ответ