М
Молодежь
К
Компьютеры-и-электроника
Д
Дом-и-сад
С
Стиль-и-уход-за-собой
П
Праздники-и-традиции
Т
Транспорт
П
Путешествия
С
Семейная-жизнь
Ф
Философия-и-религия
Б
Без категории
М
Мир-работы
Х
Хобби-и-рукоделие
И
Искусство-и-развлечения
В
Взаимоотношения
З
Здоровье
К
Кулинария-и-гостеприимство
Ф
Финансы-и-бизнес
П
Питомцы-и-животные
О
Образование
О
Образование-и-коммуникации
kater7829
kater7829
13.03.2020 20:32 •  Геометрия

3x( в квадрате)-9х+6=0. быстро решить) надо, ))

👇
Ответ:
Bekzhan20031
Bekzhan20031
13.03.2020
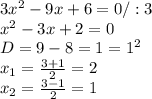
3x^{2} - 9x + 6 =0 / :3 \\ x^{2} - 3x +2 = 0 \\ D= 9 - 8 = 1 = 1^{2} \\ x_{1} = \frac{3+1}{2} = 2 \\ x_{2} = \frac{3-1}{2} = 1
ответ: 1 и 2
4,6(56 оценок)
Открыть все ответы
Ответ:
adweafd
adweafd
13.03.2020

ответ:ECD равнобедреный треугольник,его углы при основании равны между собой

ЕF-высота,т к она опущена на основание перпендикулярно,углы EFC и EFD равны между собой и равны 90 градусов

В равнобедреном треугольнике опущенная из вершины высота одновременно является и медианой(делит основание пополам) и биссектрисой(делит угол при вершине пополам)

Треугольники ECF и EFD равны между собой

Узнаём,чему равен угол D в треугольнике ЕFD

Сумма всех углов треугольника равна 180 градусов

180-(90+19)=71 градус

По определению углы при основании равнобедреного треугольника равны

Поэтому угол D равен углу С и оба равны по 71 градусу

Можно было решить иначе

Биссектриса поделила угол при вершине Е пополам,мы можем ,чему он был равен изначально

19•2=38 градусов

А теперь узнаём,чему равны углы С и D в треугольнике ЕДС

(180-38):2=142:2=71 градус

ответ: угол ЕСD равен 71 градус

Объяснение:

4,4(62 оценок)
Ответ:
yakubchik2004
yakubchik2004
13.03.2020

10см

Объяснение:

Дано:

FH=HK(по услов.);

L FHO=L KHO(по услов.); (L это типо угол)

НО -биссектриса(по услов.);

FD=DO(по услов.); BD=DC(по услов.);

L FDO=L BDC(верт.);

AB=BC=5см(по услов.).

Найти:

FK

Т.к. AB=BC, значит треуг. ABC-равнобедренный;

BC-общая сторона треуг. ABC и BDC;

т.к. L FDO и L BDC вертикальные, значит они равны. Если

FD=DB, OD=DC, L FDO=L BDC,

следовательно треуг. FDO=треуг. BDC.

Т.к. у равных треугольников все стороны равны, значит BC=FO=5см.

треуг. FHK- равнобедренный, по двум равным сторонам. HO - биссектриса, медиана и высота равнобедренного треугольника FHK,

Значит FO=OK=5см

FK=FO+OK

FK=5+5

FK=10(см.)

4,7(50 оценок)
Это интересно:
Новые ответы от MOGZ: Геометрия
logo
Вход Регистрация
Что ты хочешь узнать?
Спроси Mozg
Открыть лучший ответ