М
Молодежь
К
Компьютеры-и-электроника
Д
Дом-и-сад
С
Стиль-и-уход-за-собой
П
Праздники-и-традиции
Т
Транспорт
П
Путешествия
С
Семейная-жизнь
Ф
Философия-и-религия
Б
Без категории
М
Мир-работы
Х
Хобби-и-рукоделие
И
Искусство-и-развлечения
В
Взаимоотношения
З
Здоровье
К
Кулинария-и-гостеприимство
Ф
Финансы-и-бизнес
П
Питомцы-и-животные
О
Образование
О
Образование-и-коммуникации
Daniela080722
Daniela080722
31.03.2023 06:26 •  Геометрия

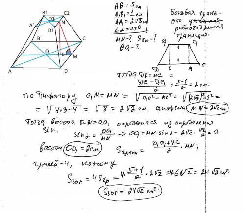
Стороны оснований правильной четырехугольной усеченной пирамиды равны 1см и 5см боковое ребро усеченной пирамиды равно 2корень из 3см. боковая грань с плоскостью нижнего основания образует угол 45градусов. найдите1)апофему усеченной пирамиды2)высоту усеченной пирамиды 3)площадь боковой поверхности усеченной

👇
Ответ:
Nikalusha
Nikalusha
31.03.2023
Решение в скане...............

Стороны оснований правильной четырехугольной усеченной пирамиды равны 1см и 5см боковое ребро усечен
4,7(6 оценок)
Открыть все ответы
Ответ:
feroprosto
feroprosto
31.03.2023
Соединим точку О с точками А, В, С .
Получим два треугольника ОАВ и ОВС. Они равнобедренные оба, т.к. стороны ОА, ОВ, ОС являются радиусами окружности.
Рассмотрим треугольник ОАВ, раз в нем угол ОАВ равен 43 градусам, то угол АВО тоже будет равен 43 градусам, как углы при основании равнобедренного треугольника.
 Определим угол ОВС в треугольнике другом. Раз угол АВС равен 75градусам из условия задачи, то угол ОВС будет равен 75-43=32 градуса. А искомый угол ВСО будет равен углу ОВС как угол при основании равнобедренного треугольника ., т.е .искомый угол ВСО=ОВС=32 градуса. 
ответ: угол ВСО=32 градуса
4,4(13 оценок)
Ответ:
katcornewa
katcornewa
31.03.2023
Билет №1.
1.Фигуры на плоскости
2 Центр окружности, описанной около треугольника, является точкой пересечения перпендикуляров к сторонам треугольника, проведенных через середины этих сторон.
3Рассмотрим ΔBAO и ΔOCD
AO=OC - по условию
BO=OD - по условию
∠AOB=∠COD - вертикальные
⇒  ΔBAO=ΔOCD - по первому признаку (2 стороны и угол между ними)

Билет №2.
1. геометрическая фигура, образованная двумя лучами (сторонами угла), выходящими из одной точки (которая называется вершиной угла)Это угол равный 180..Любой угол разделяет плоскость на 2 части. Если угол неразвёрнутый, то одна из частей называется внутренней, а другая внешней областью этого угла.Если угол развёрнутый, то любую из двух частей, на которые она разделяет плоскость можно считать внутренней областью угла. 
Фигуру, состоящую из угла и его внутренней области, так же называют углом.От любой полупрямой в заданную  полуплоскость можно отложить угол с заданной градусной мерой, меньшей 180°,и только один.
2. Диаметр, перпендикулярный к хорде, делит эту хорду и стягиваемые ею дуги пополам.
3.т. к. Сумма углов треугольника 180°,
 значит третий угол 180-32-57=91°
Билет №3.
1.Равносторонним треугольником называется треугольник, у которого все его стороны равны.1) Все углы равностороннего треугольника равны по 60º.2) Высота, медиана и биссектриса, проведённые к каждой из сторон равностороннего треугольника, совпадают,3)Точка пересечения высот, биссектрис и медиан называется центром правильного треугольника и является центром вписанной и описанной окружностей (то есть в равностороннем треугольнике центры вписанной и описанной окружностей совпадают).4) Точка пересечения высот, биссектрис и медиан правильного треугольника делит каждую из них в отношении 2:1, считая от вершин.6) Расстояние от точки пересечения высот, биссектрис и медиан до любой стороны треугольника равно радиусу вписанной окружности.7) Сумма радиусов вписанной и описанной окружностей правильного треугольника равна его высоте, медиане и биссектрисе.8) Радиус вписанной в правильный треугольник окружности в два раза меньше радиуса описанной окружности.
2.Если из какой-нибудь точки провести две касательные к окружности, то их отрезки от данной точки до точек касания равны между собой и центр окружности находится на биссектрисе угла, образованного этими касательными.
3. Возьмем отрезок АД за х, тогда ОА = х+8:   х+х+8=24. 2х=16, х=8
4,4(8 оценок)
Это интересно:
Новые ответы от MOGZ: Геометрия
logo
Вход Регистрация
Что ты хочешь узнать?
Спроси Mozg
Открыть лучший ответ