М
Молодежь
К
Компьютеры-и-электроника
Д
Дом-и-сад
С
Стиль-и-уход-за-собой
П
Праздники-и-традиции
Т
Транспорт
П
Путешествия
С
Семейная-жизнь
Ф
Философия-и-религия
Б
Без категории
М
Мир-работы
Х
Хобби-и-рукоделие
И
Искусство-и-развлечения
В
Взаимоотношения
З
Здоровье
К
Кулинария-и-гостеприимство
Ф
Финансы-и-бизнес
П
Питомцы-и-животные
О
Образование
О
Образование-и-коммуникации
закладчик
закладчик
11.11.2020 02:27 •  Геометрия

Втреугольнике авм через вершину в проведена прямая d, параллельная стороне ам. из вершин а и m проведены перпендикуляры ас и md на прямую d.найдите площадь четырехугольника асdм, если площадь треугольника abm равна 23 см в квадрате.

👇
Ответ:
grandx04
grandx04
11.11.2020
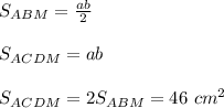
ACDM - прямоугольник.
Для удобства и быстроты всей писанины обозначаем:
AM=CD=a \\ 
AC=MD=b

S_{ABM}= \frac{ab}{2} \\ \\ S_{ACDM}=ab \\ \\ S_{ACDM}=2S_{ABM}=46\ cm^2

Вот, собственно, и всё решение, рисунок во вложении.

...Ну и как "Лучший ответ" не забудь отметить, ОК?!.. ;)
Втреугольнике авм через вершину в проведена прямая d, параллельная стороне ам. из вершин а и m прове
4,4(42 оценок)
Открыть все ответы
Ответ:
artemlykov2000
artemlykov2000
11.11.2020

Площадь прямоугольника равна произведению длин его смежных сторон. 

Пусть стороны прямоугольника а и b, а его площадь равна S,

Докажем, что S=ab 

Достроим прямоугольник до квадрата, длина стороны которого равна сумме длин сторон данного прямоугольника, т.е. а+b ( см. рисунок, данный в приложении)

Площадь квадрата равна квадрату его стороны

S(кв)=(a+b)²=a²+2ab+b²

В то же время площадь этого достроенного квадрата состоит из суммы площадей двух меньших квадратов, чьи площади равны а²  и  b²,  и площадей двух прямоугольников со сторонами а и b, чью площадь мы приняли равной S.

Отсюда 

a²+2ab+b²=а²+b²+S+S ⇒ 

2ab=2S.

Следовательно, 

S=ab.

4,8(72 оценок)
Ответ:
aizada14
aizada14
11.11.2020
1) Бічна грань - прямокутник.
ЇЇ розміри -dsin α*dcos α = d²sin2α/2.
Площа бічної поверхні призми складає з 3 граней, тоді Sбок = (d²sin2α/2)*3 = 3d²sin2α/2.
2) Якщо кожне ребро дорівнює √2 см, то бічні грані - рівносторонні трикутники. Апофема дорівнює √2*cos 30 = √2*√3/2.
Площа бічної поверхні становить 4*(1/2)*√2*√2*√3/2. = 2√3,
Площа основи - (√2)² = 2.
Тоді повна поверхня дорівнює 2√3 + 2 = 2(√3 + 1).
3) Якщо в основі піраміди прямокутний трикутник, а бічні ребра однакові, то вісь піраміди проходить через середину гіпотенузи основи. Ця вісь становить одночасно апофемою бічної грані.
Тобто ця бічна грань вертикальна та її висота одночасно становить висотою піраміди.
Висота піраміди дорівнює 12*cos 30 = 12*(√3/2) = 6√3.
4,6(19 оценок)
Это интересно:
Новые ответы от MOGZ: Геометрия
logo
Вход Регистрация
Что ты хочешь узнать?
Спроси Mozg
Открыть лучший ответ