М
Молодежь
К
Компьютеры-и-электроника
Д
Дом-и-сад
С
Стиль-и-уход-за-собой
П
Праздники-и-традиции
Т
Транспорт
П
Путешествия
С
Семейная-жизнь
Ф
Философия-и-религия
Б
Без категории
М
Мир-работы
Х
Хобби-и-рукоделие
И
Искусство-и-развлечения
В
Взаимоотношения
З
Здоровье
К
Кулинария-и-гостеприимство
Ф
Финансы-и-бизнес
П
Питомцы-и-животные
О
Образование
О
Образование-и-коммуникации
Пиоооьлл
Пиоооьлл
26.05.2022 14:46 •  Геометрия

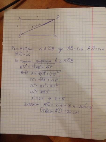
Дан прямоугольник abcd,bd делит прямоугольник пополам,сторона bd равна 25см.найти сторону ad,если ab: ad=3: 4

👇
Ответ:
TimurChik2100
TimurChik2100
26.05.2022
Вот решение, не откажусь от "лучшего ответа" =3

Дан прямоугольник abcd,bd делит прямоугольник пополам,сторона bd равна 25см.найти сторону ad,если ab
4,8(91 оценок)
Открыть все ответы
Ответ:
6машка6
6машка6
26.05.2022

См. Объяснение.

Объяснение:

1-й с шкалированной линейки).

1) Чертим произвольный отрезок.

2) Измеряем длину отрезка (L).

3) Решаем уравнение:

2х + 6х = L

x = L/8.

4) От начала отрезка откладываем:

2х = 2 * (L/8) = L/4 - это и будет точка, разбивающая отрезок в отношении:  2 : 6.

2-й с циркуля и нешкалированной линейки).

1) Чертим произвольный отрезок.

2) Из концов отрезка, раствором циркуля, превышающим половину длины отрезка, делаем по 2 засечки (сверху и снизу).

3) Прикладываем линейку к точкам пересечения засечек и проводим линию, пересекающую отрезок, - это середина отрезка.

4) Аналогично делим пополам, левую половину отрезка и полученную точку отмечаем как границу, которая делит отрезок в отношении 2:6, или, что одно и то же, - 1:3.

4,7(60 оценок)
Ответ:
veikson
veikson
26.05.2022

( Условие поняла, перевела с переводчика. но ответить могу только на русском, т.к. украинского не знаю)

--------------

 Автомобиль двигался по дороге параллельно забору NP и остановился около закрытых ворот КL так, как изображено на рисунке. Известно, что размах  створки ворот LМ составляет 2 м, OQ=1 м. Укажите наименьшую из приведенных длин отрезка LO, при которой створка LM не заденет автомобиль, при условии полного открывания ворот.  Считайте, что ворота перпендикулярны плоскости дороги и имеют прямоугольную форму. Толщиной створок пренебречь.

ответ: 1,8 м

Объяснение:  

Если автомобиль остановится так, как на рисунке, при полном открывании ворот он будет задет  ими задет, т.к. частично. расположен в описываемой створкой полуокружности. .

Решение. От Q вправо проведем прямую до пересечения с линией полуокружности в т.В. От В проведем отрезок ВА ( А - на линии забора).

Треугольник МВА  - прямоугольный ( опирается на диаметр МА. Перпендикуляр ВН - высота этого треугольника.

Искомое расстояние - LH.

ВН=QO=1 м по построению. Высота прямоугольного треугольника - среднее пропорциональное отрезков, на которые она делит гипотенузу ( здесь - диаметр МА). =>

ВН²=МН•НА

ML=LA=2 м

Примем LH=x. Тогда МН=2+x, АН= 2-x

(2+х)•(2-х)=1²

4-х²=1 ⇒ х=√3=1,732 ≈1,8 м

Расстояние LO не должно быть менее 1,8 м


Геометрія, будь ласка, розв'яжіть. 64 завдання. З поясненням, розв'язком
4,5(29 оценок)
Это интересно:
Новые ответы от MOGZ: Геометрия
logo
Вход Регистрация
Что ты хочешь узнать?
Спроси Mozg
Открыть лучший ответ