6. 60 см
7. 21,2
8. в
9. 32
Объяснение:
6. Вторая диагональ делит угол В пополам, т.е. 30+30.В прямоугольном треугольнике ВОС ОС = 15/2=7,5 и лежит против угла 30 градусов, следовательно, гипотенуза ВС=15см. А весь периметр 15х4=60см.
7. 8,4/4=21,2 дм
8. Прямоугольники.
углы В и С в сумме дают 180 град, 60+30+90, а они являются внутренними односторонними при прямых АВ и СД и секущей ВС. т.е. АВ ║СД, по признаку параллельноти прямых.
9. Пусть х-меньшая сторона, х+4-большая сторона.
2x+2(x+4)=24
4x=16,x=4-1 сторона
x+4=8-2 сторона
S=x(x+4)=4*8=32



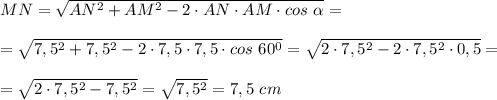
Но... Если подумать, можно всё сделать гораздо проще и быстрее:
ΔAMN - равнобедренный, с углом при вершине 60°, значит углы при основании тоже равны 60°, то есть