М
Молодежь
К
Компьютеры-и-электроника
Д
Дом-и-сад
С
Стиль-и-уход-за-собой
П
Праздники-и-традиции
Т
Транспорт
П
Путешествия
С
Семейная-жизнь
Ф
Философия-и-религия
Б
Без категории
М
Мир-работы
Х
Хобби-и-рукоделие
И
Искусство-и-развлечения
В
Взаимоотношения
З
Здоровье
К
Кулинария-и-гостеприимство
Ф
Финансы-и-бизнес
П
Питомцы-и-животные
О
Образование
О
Образование-и-коммуникации
flow789456587
flow789456587
14.09.2022 18:49 •  Геометрия

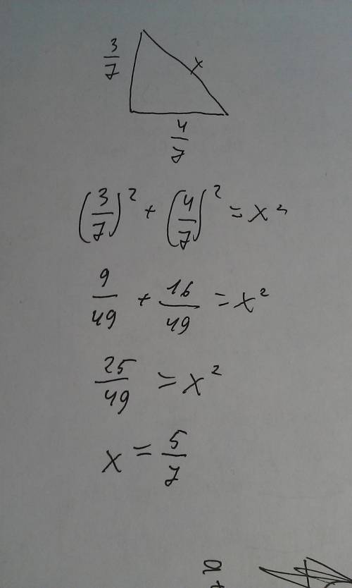
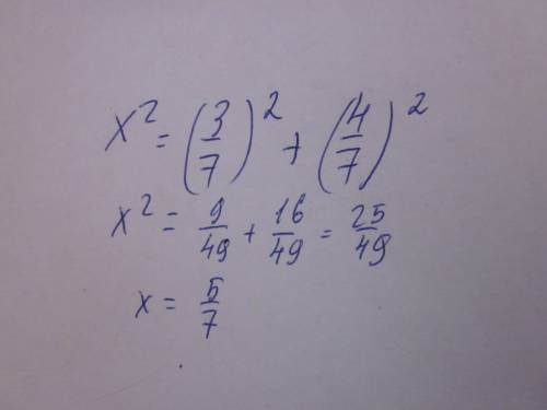
Найти гипотенузу прямоугольного треугольника по данным катетам а и b a=3/7 b=4/7

👇
Ответ:
merkurevamilena1
merkurevamilena1
14.09.2022

Вот решение. По теореме пифагора.


Найти гипотенузу прямоугольного треугольника по данным катетам а и b a=3/7 b=4/7
4,8(33 оценок)
Ответ:
savitar228
savitar228
14.09.2022

всё решение на фотографии


Найти гипотенузу прямоугольного треугольника по данным катетам а и b a=3/7 b=4/7
4,7(25 оценок)
Открыть все ответы
Ответ:
asadhfdgj
asadhfdgj
14.09.2022
Нот ʹонли уил зэ юс ов зэ вёлд би дэф эт ʹфоти, зэй уил би блайнд эз уэл фром ʹтрайин ту ʹхэмэ аут зэус ʹтини-ʹтайни литл батнс ин одэ ту кэʹмьюникэйт ʹэсинайн ʹмэсидж лайк "ай мис ю", "ю а рэʹволтин", энд "лэтс нот си ич азэ эниʹмо". джоли фан, изнт ит?   зэ ʹгрэйтист ʹпэрэдокс фром зис тэкнэʹлоджикэл ʹонслот из зэт уи а нот ʹсэин ʹэнисин мо зэн уи дид биʹфо. ʹэкчуэли, уи мэй би ʹсэин э гуд ʹдиэл лэс, синс уэн уи ʹфайнэли мит ин зэ флэш энд блад уи хэвнт гот зэ стрэнгс ту ток. ай майт кэнʹтинью он зис рэнт - бат ай маст чек май ʹимэйлс нау.
4,6(55 оценок)
Ответ:
МаКсИк009
МаКсИк009
14.09.2022
)по чертежу думаю все понятно там тэтрайдер.   1 расматриваем аов по теореме пифагора   находим ов=10.   2 в треугольнике овс он равнобедренный проводим высоту он она попадает на середину вс. находим он по теореме пифагора он=корень под ним 100-9 =корень из 91. находим площадь треугольника 1/2*св*он=3корня из 91. находим периметр 10+10+6=26  2 находим ов=а корей из 2. находим он = 2а2-а2/4=а корней из 7 делить на 2. площадь а2 корней из 7 делить на 4 а периметр =а(1+2 корня из 2) 
4,7(40 оценок)
Это интересно:
Новые ответы от MOGZ: Геометрия
logo
Вход Регистрация
Что ты хочешь узнать?
Спроси Mozg
Открыть лучший ответ