М
Молодежь
К
Компьютеры-и-электроника
Д
Дом-и-сад
С
Стиль-и-уход-за-собой
П
Праздники-и-традиции
Т
Транспорт
П
Путешествия
С
Семейная-жизнь
Ф
Философия-и-религия
Б
Без категории
М
Мир-работы
Х
Хобби-и-рукоделие
И
Искусство-и-развлечения
В
Взаимоотношения
З
Здоровье
К
Кулинария-и-гостеприимство
Ф
Финансы-и-бизнес
П
Питомцы-и-животные
О
Образование
О
Образование-и-коммуникации
иришка98
иришка98
12.10.2020 06:14 •  Геометрия

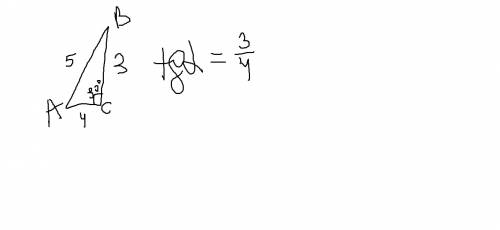
Втреугольнике авс угол с равен 90 градусов ав=5 ас=4 найдите tga

👇
Ответ:
лада161
лада161
12.10.2020

                                                                                               


Втреугольнике авс угол с равен 90 градусов ав=5 ас=4 найдите tga
4,6(100 оценок)
Открыть все ответы
Ответ:
nickitaartemjev
nickitaartemjev
12.10.2020

Объяснение:

Дано: ABCD-равнобедренная трапеция.

ВЕ и СF-высоты.

(а) Рассмотрим ΔАВЕ и ΔDCF.

∠А=∠Д и АВ=СД т. к. трапеция равнобедренная, ∠АЕВ=∠DFC=90°, а ∠А=∠Д поэтому ∠АВЕ=∠FCD ⇒ ΔАВЕ=ΔDCF.

(б) ∠А=∠Д, ∠Е=∠F, ∠В=∠С.

(с) Вид может быть разным, смотря как ВЫ начертите трапецию. Если у вас трапеция будет длиноватая, то это прямоугольник, если же получится так, что ЕВ=ВС=FC=EF, это квадрат.

(д) У нас ∠АВЕ=∠FCD, ВЕ и СF-высоты⇒∠В=∠Е=∠С=∠F=90°, т. е. ∠В=∠С, поэтому ∠АВС=∠ДСВ.

(е) У равнобокой трапеции есть свойство, это свойство и будет ВЫВОДОМ.

Вывод:

Углы при каждом основании равнобедренной трапеции равны.

4,6(71 оценок)
Ответ:
6755175
6755175
12.10.2020

Мусульманское завоевание Испании. К концу VII в. арабы завершили покорение византийских владений в Северной Африке, и в 709 г. их первый отряд высадился на территории Вестготского королевства. Кроме арабов в завоевании участвовали коренные жители Северной Африки — берберы, незадолго до того принявшие ислам. В 711 г. началось их вторжение в Испанию. Вестготское войско значительно превосходило врага численно, однако потерпело сокрушительное поражение в первой же крупной битве; к 714г. сдались все крупные крепости королевства. Арабы и берберы (в христианском мире их обычно называли маврами) захватили вестготские владения и к северу от Пиренеев, однако их продвижение в глубьФранкского королевства было остановлено Карлом Мартеллом.

4,4(95 оценок)
Это интересно:
Новые ответы от MOGZ: Геометрия
logo
Вход Регистрация
Что ты хочешь узнать?
Спроси Mozg
Открыть лучший ответ