ВАС=90 Т.к. угол ВАС делится на 3 равные части, то угол ВДА= углу ДАЕ= углу ЕАС=30. Треугольник ВДА подобен ВАС по двум углам: ДВА=АВС, угол ВДА=ВАС=90 , => угол ВСА= ДАВ=30 =>треугольник АЕС= равнобедренный , АЕ=АС Треугольник ВДА= ЕДА по двум углам и стороне, ДА- общая, угол ВДА=ЕДА, угол ВАД=ЕАД. =>ВД=ДЕ обозначим ДЕ за х, тогда ВД=х, ЕС=2х, ЕА=2х S треугольника ЕДА =(1/2)*ЕД*ДА=(1/2)*х*2х*cos30 (х^2)*(sqrt{3}/2)=2/sqrt{3} х=2/sqrt{3} (1/2)АС=АЕ*cos30=(4/sqrt{3})*(sqrt{3}/2)=2 => AC=4 ВА=ВС*cos60=4x*(1/2)=(8/sqrt{3})*(1/2)=4/sqrt{3} S треугольника АВС =(1/2)*АВ*АС=8/sqrt{3} р (полупериметр)=(6+2sqrt{3})/sqrt{3} r=S/p r=8/(6+2sqrt{3})=4/(3+sqrt{3}) S круга=п*r^2=(16п)/((3+sqrt{3})^2)
Отрезки касательных BP и BQ равны по свойству касатльной проведенной к оружности из одной точки . Значит треугольник BPQ -равнобедренный с боковой стороной 40. Обозначим точку пересечения прямой ВО с окружностью буквой К, с отрезком PQ буквой М. Пусть PM=x, тогда MQ тоже х ( диаметр перпендикулярный хорде делит её пополам) по теореме Пифагора из треугольника OMQ R²=18²+x² Из треугольника PBM BM²= 40²-x²=1600-R²-324=1276-R². Теперь надо применить Свойство касательной и секущей. Произведение секущей на её внешнюю часть равно квадрату касательной. Но выражения очень большие.
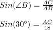
В прямоугольном треугольнике ∠С = 90°, ∠В = 30°, АВ = 18. Найдите АС.
- - -
Дано :
ΔАВС - прямоугольный (∠С = 90°).
∠В = 30°.
АВ = 18.
Найти :
АС = ?
Синусом острого угла прямоугольного треугольника называют отношение противолежащего катета к гипотенузе.Для ∠В противолежащий катет - катет АС.
Сторона АВ - гипотенуза по определению (лежит против прямого угла).
По выше сказанному -

Синус угла в 30° равен 0,5.Отсюда -
9 (ед).