М
Молодежь
К
Компьютеры-и-электроника
Д
Дом-и-сад
С
Стиль-и-уход-за-собой
П
Праздники-и-традиции
Т
Транспорт
П
Путешествия
С
Семейная-жизнь
Ф
Философия-и-религия
Б
Без категории
М
Мир-работы
Х
Хобби-и-рукоделие
И
Искусство-и-развлечения
В
Взаимоотношения
З
Здоровье
К
Кулинария-и-гостеприимство
Ф
Финансы-и-бизнес
П
Питомцы-и-животные
О
Образование
О
Образование-и-коммуникации
emilgaripov87
emilgaripov87
30.12.2022 23:03 •  Геометрия

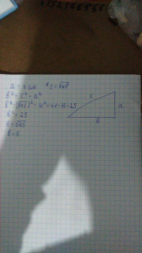
Можно просто ответ! в прямоугольном треугольнике a, b – катеты, c – гипотенуза. найдите b, если a = 4 см, с √41 см.

👇
Ответ:
Алёнушка43
Алёнушка43
30.12.2022
( √41)²- 4²= в²
в²= 41-16
в²=25
в= 5
4,8(19 оценок)
Ответ:
MrCapuchino
MrCapuchino
30.12.2022
Вотттттттттттттттттттт
Можно просто ответ! в прямоугольном треугольнике a, b – катеты, c – гипотенуза. найдите b, если a =
4,5(5 оценок)
Открыть все ответы
Ответ:
valerango
valerango
30.12.2022

Начнем с профессии металлурга – очень трудной и очень почетной. Трудной потому, что приходится иметь дело с огромными объемами металла, огромных размеров оборудованием, которое работает в непрерывном режиме и пожирающее огромное количество энергии.

Металлург – это очень широкое понятие. Оно включает все профессии, связанные с обогащением руды и выплавкой чистого металла.

Сталевар на сталеплавильном или медеплавильном производстве или гальваник, ведущий электролиз расплавленной соли – металлурги.

Металлургу нужно досконально знать все тонкости процесса, иметь огромный опыт и зоркий глаз, чтобы уловить момент, когда сваренный металл приобретет оптимальный состав. Важно этот момент не упустить, иначе ценность плавки и сортность полученного металла снижаются, зря расходуются материальные ресурсы и усилия больших коллективов.

Плавка и разливка в формы металла – только начало пути к получению готового металлического изделия

4,4(73 оценок)
Ответ:
sasha16971
sasha16971
30.12.2022

Начнем с профессии металлурга – очень трудной и очень почетной. Трудной потому, что приходится иметь дело с огромными объемами металла, огромных размеров оборудованием, которое работает в непрерывном режиме и пожирающее огромное количество энергии.

Металлург – это очень широкое понятие. Оно включает все профессии, связанные с обогащением руды и выплавкой чистого металла.

Сталевар на сталеплавильном или медеплавильном производстве или гальваник, ведущий электролиз расплавленной соли – металлурги.

Металлургу нужно досконально знать все тонкости процесса, иметь огромный опыт и зоркий глаз, чтобы уловить момент, когда сваренный металл приобретет оптимальный состав. Важно этот момент не упустить, иначе ценность плавки и сортность полученного металла снижаются, зря расходуются материальные ресурсы и усилия больших коллективов.

Плавка и разливка в формы металла – только начало пути к получению готового металлического изделия

4,8(35 оценок)
Это интересно:
Новые ответы от MOGZ: Геометрия
logo
Вход Регистрация
Что ты хочешь узнать?
Спроси Mozg
Открыть лучший ответ