М
Молодежь
К
Компьютеры-и-электроника
Д
Дом-и-сад
С
Стиль-и-уход-за-собой
П
Праздники-и-традиции
Т
Транспорт
П
Путешествия
С
Семейная-жизнь
Ф
Философия-и-религия
Б
Без категории
М
Мир-работы
Х
Хобби-и-рукоделие
И
Искусство-и-развлечения
В
Взаимоотношения
З
Здоровье
К
Кулинария-и-гостеприимство
Ф
Финансы-и-бизнес
П
Питомцы-и-животные
О
Образование
О
Образование-и-коммуникации
maratsultanbekкатя
maratsultanbekкатя
17.07.2022 05:59 •  Геометрия

1.стороны треугольника равны 40 дм, 30 дм, 14 дм. вычисли наибольшую высоту этого треугольника. наибольшая высота равна дм 2. чему равна площадь треугольника?

👇
Ответ:
artmani228
artmani228
17.07.2022
Наибольшая высота будет перпендикулярна наименьшей стороне.(14)

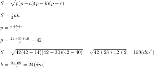
S= \sqrt{p(p-a)(p-b)(p-c)} \\ \\ S= \frac{1}{2} ah \\ \\ p= \frac{a+b+c}{2} \\ \\ p= \frac{14+30+40}{2} =42 \\ \\ S= \sqrt{42(42-14)(42-30)(42-40)} = \sqrt{42*28*12*2} =168(dm^2) \\ \\ h= \frac{2*168}{14} =24(dm)
4,6(16 оценок)
Открыть все ответы
Ответ:
zaharovivan150
zaharovivan150
17.07.2022

ответ:

объяснение:

2. прямую можно обозначать одной маленькой латинской буквой (a,b,

или двумя заглавными латинскими буквами, если этими буквами обозначены точки, расположенные на прямой (ab, cd)

3. у прямой много свойств: через одну точку можно провести бесконечно много прямых, через любые две точки можно провести только одну прямую, у любой прямой, существуют точки, принадлежащие этой прямой, и точки, не принадлежащие

4.   прямые, лежащие в одной плоскости и имеющие одну общую точку, которую называют точкой пересечения прямых называют пересекающимися.

6. утверждение, имеющее доказательство, т.е. его надо доказать.

9. их тоже несколько (равные отрезки имеют равные длины, часть отрезка всегда имеет длину, которая меньше длины отрезка, если точки на отрезке делят отрезок на части, то длина отрезка равна сумме длин этих частей.

10. длина отрезка.

11.это точка, которая делит данный отрезок на две равные части.

4,5(37 оценок)
Ответ:
darya666666666666
darya666666666666
17.07.2022

ответ:

объяснение:

2. прямую можно обозначать одной маленькой латинской буквой (a,b,

или двумя заглавными латинскими буквами, если этими буквами обозначены точки, расположенные на прямой (ab, cd)

3. у прямой много свойств: через одну точку можно провести бесконечно много прямых, через любые две точки можно провести только одну прямую, у любой прямой, существуют точки, принадлежащие этой прямой, и точки, не принадлежащие

4.   прямые, лежащие в одной плоскости и имеющие одну общую точку, которую называют точкой пересечения прямых называют пересекающимися.

6. утверждение, имеющее доказательство, т.е. его надо доказать.

9. их тоже несколько (равные отрезки имеют равные длины, часть отрезка всегда имеет длину, которая меньше длины отрезка, если точки на отрезке делят отрезок на части, то длина отрезка равна сумме длин этих частей.

10. длина отрезка.

11.это точка, которая делит данный отрезок на две равные части.

4,8(90 оценок)
Новые ответы от MOGZ: Геометрия
logo
Вход Регистрация
Что ты хочешь узнать?
Спроси Mozg
Открыть лучший ответ