Нарисуем треугольник, проведем высоту из вершины прямоуго угла и обозначим ее СН.
У высоты прямоугольного треугольника есть свои собственные свойства.
Одно из них:
1) Катет прямоугольного треугольника есть среднее пропорциональное между гипотенузой и отрезком ВН гипотенузы, заключенным между катетом и высотой.
Катет СВ=9
Отрезки, на которые высота поделила гипотенузу, равны 2х и 3х (2х:3х=2:3), причем 3х ближе к вершине В ( проекция стороны СВ)
А всего в гипотенузе таких отрезков 5х.
СВ²=ВН·ВА
81=3х·5х
5х²=81
х=0,6√15
ВН=3·0,6√15=1,8√15
НА=2·0,6√15=1,2√15
2)Отношение отрезков гипотенузы, на которые высота делит ее, равно отношению соответственных катетов.
9:АС=1,8√15:1,2√15
9:АС=1,5
АС=6
S АВС=9·6:2=27 ( ?)²

Вписанный угол ACB опирается на диаметр AB, следовательно, ∠ACB = 90°, тогда по теореме Пифагора:
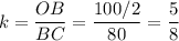
Далее у треугольников ABC и KOB ∠B общий и углы прямые равны, значит эти треугольники подобны по двум углам. Коэффициент подобия:
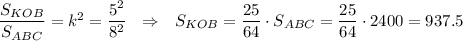
Отношение площадей подобных треугольников равно квадрату коэффициента подобия.
Отсюда
кв. ед.
ответ: 1875 кв. ед.