М
Молодежь
К
Компьютеры-и-электроника
Д
Дом-и-сад
С
Стиль-и-уход-за-собой
П
Праздники-и-традиции
Т
Транспорт
П
Путешествия
С
Семейная-жизнь
Ф
Философия-и-религия
Б
Без категории
М
Мир-работы
Х
Хобби-и-рукоделие
И
Искусство-и-развлечения
В
Взаимоотношения
З
Здоровье
К
Кулинария-и-гостеприимство
Ф
Финансы-и-бизнес
П
Питомцы-и-животные
О
Образование
О
Образование-и-коммуникации
Шпунтик99
Шпунтик99
22.02.2021 11:18 •  Геометрия

Вравнобедреном треугольнике боковая сторона равна 44 основание 44√3, а угол, лежащий против основания равна 120. найдите площадь, в ответе укажите площадь делёную на √3

👇
Ответ:
Проведем к основанию треугольника высоту (она же и медиана, биссектриса по свойству равнобедренного Δ). 
Рассмотрим один из образовавшихся прямоугольных треугольников. Т.к. мы провели биссектрису, то один из углов равен 
\dfrac{120}{2}=60
А второй 
90-60=30°

По свойству катета, лежащего против угла в 30°, высота треугольника будет равна
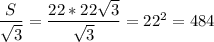
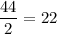
\dfrac{44}{2}=22

Площадь треугольника/√3
\dfrac{S}{ \sqrt{3} }= \dfrac{22*22 \sqrt{3} }{ \sqrt{3} }=22^2= 484

ответ: 484
4,6(84 оценок)
Открыть все ответы
Ответ:
CherryGirll
CherryGirll
22.02.2021

Висота дорівнює 8 см.

Объяснение:

Данний тип задач вирішується дуже просто, навіть устно. Покажу як це робиться в Варшавській школі:   одна грань має площу 64 см² а друга 56 см², щоб отримати цю площу треба 8х8=64 , а іншу 7х8=56  , грані це прямокутники ,  в цих двох виразах є  одне спільне, це величина 8 на яку ми множимо сторону основи паралелопипеда. Тому висота дорівнює 8.

 Перевіримо: маємо об"єм фігури , в це площа основи * на висоту. Площа основи буде  8*7=56 см² , а висота 8      56*8=448 см³  а це відповідає умовам задачі.    

   Задачу можна рішати і іншим позначати невідомі сторони через Х і У  , складати систему рівнянь ,  і врешті ми знайдемо це саме, але витратимо на це в тричі більше часу , ніж це я зробив.   Удачі всім!

4,6(52 оценок)
Ответ:
MrLux123
MrLux123
22.02.2021

При пересечении параллельных прямых секущей образуется 8 углов двух величин:

соответственные углы

∠1 = ∠5

∠3 = ∠7,

а так как ∠1 = ∠3 как вертикальные, то

∠1 = ∠5 = ∠3 = ∠7 = х

и соответственные углы

∠2 = ∠6

∠4 = ∠8,

а так как ∠2 = ∠4, как вертикальные, то

∠2 = ∠6 = ∠4 = ∠8 = у

Сумма односторонних углов равна 180°, например

∠3 + ∠6 = 180°

Т. е. х + у = 180°.

Углы, о которых идет речь в задаче, не равны. Пусть х - меньший из них, тогда у = х + 30°.

x + x + 30° = 180°

2x = 150°

x = 75°

∠1 = ∠5 = ∠3 = ∠7 = 75°

у = 180° - 75° = 105°

∠2 = ∠6 = ∠4 = ∠8= 105°

4,5(44 оценок)
Это интересно:
Новые ответы от MOGZ: Геометрия
logo
Вход Регистрация
Что ты хочешь узнать?
Спроси Mozg
Открыть лучший ответ