М
Молодежь
К
Компьютеры-и-электроника
Д
Дом-и-сад
С
Стиль-и-уход-за-собой
П
Праздники-и-традиции
Т
Транспорт
П
Путешествия
С
Семейная-жизнь
Ф
Философия-и-религия
Б
Без категории
М
Мир-работы
Х
Хобби-и-рукоделие
И
Искусство-и-развлечения
В
Взаимоотношения
З
Здоровье
К
Кулинария-и-гостеприимство
Ф
Финансы-и-бизнес
П
Питомцы-и-животные
О
Образование
О
Образование-и-коммуникации
1BYRYNDYK1
1BYRYNDYK1
28.03.2020 06:32 •  Геометрия

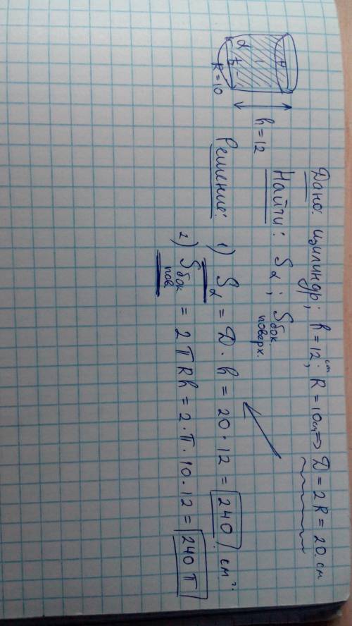
Высота цилиндра равна 12см,а радиус равен 10см. найти площадь осевого сечения цилиндра и площадь боковой поверхности цилиндра. с чертежем )

👇
Ответ:
урган1
урган1
28.03.2020
Чертеж конечно не айс, но вот
Высота цилиндра равна 12см,а радиус равен 10см. найти площадь осевого сечения цилиндра и площадь бок
4,4(20 оценок)
Открыть все ответы
Ответ:
123ЭщКеРе123
123ЭщКеРе123
28.03.2020
Дано треугольник авс -р/бточки ху касаются  с боковыми сторонами  ав и вс  z  точка касания с основанием.  хв =ав-ха=ав- 1/2  ас=100-30=70 смвх=ву⇒тр -к вху подобен тр-ку  авс значит  ху    =вх    ,отсюда   ху=  ас * вх   =  60*70     =4200    =42см                   ас     ва                           ва         100         100
4,8(72 оценок)
Ответ:
79025585606
79025585606
28.03.2020
1) хорда ba делит окружность на две дуги,одна из которых равна 126,диаметр ab делит окружность на две дуги,одна из которых равна 180,а другая x,наглядно видно,что получается три дуги - одна в 126 градусов,другая - в 180,третья - в x.сумма дуг окружностей равна 360 градусам,т.е 360-180-126=x=54,дуга ac равна 54,а вписанный угол abc равен,как известно,половине дуги,на которую он опирается,т.е угол abc=27. 2) хорда ab делит окружность на две дуги,одна равна 110,а другая - 250,вот эта большая дуга,равная 250,делится точкой c на две дуги - 12x и 13x (всегда можно записать пропорциональность в таком виде,например, в отношении 1/2 - это x и 2x) , т.е 25x=250,x=10,вписанный угол cab опирается на "дугу 13x",т.е на дугу,равную 130 градусам,т.е он равен 65 градусам.
4,6(96 оценок)
Новые ответы от MOGZ: Геометрия
logo
Вход Регистрация
Что ты хочешь узнать?
Спроси Mozg
Открыть лучший ответ