М
Молодежь
К
Компьютеры-и-электроника
Д
Дом-и-сад
С
Стиль-и-уход-за-собой
П
Праздники-и-традиции
Т
Транспорт
П
Путешествия
С
Семейная-жизнь
Ф
Философия-и-религия
Б
Без категории
М
Мир-работы
Х
Хобби-и-рукоделие
И
Искусство-и-развлечения
В
Взаимоотношения
З
Здоровье
К
Кулинария-и-гостеприимство
Ф
Финансы-и-бизнес
П
Питомцы-и-животные
О
Образование
О
Образование-и-коммуникации
12356гад
12356гад
28.02.2023 18:40 •  Геометрия

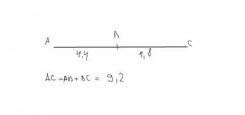
Точка b делит отрезок ac на два отрезка. найдите длину отрезка ac, если ab=4,4 см.; bc=4,8 см.

👇
Ответ:
Мурмурыч
Мурмурыч
28.02.2023
......................изи
Точка b делит отрезок ac на два отрезка. найдите длину отрезка ac, если ab=4,4 см.; bc=4,8 см.
4,7(59 оценок)
Открыть все ответы
Ответ:
Semen911
Semen911
28.02.2023

Объём пирамиды равен 1/3 произведения площади снования на высоту. V=S•h/3

Пирамида правильная, следовательно, её основание – правильный треугольник, вершина проецируется в центр описанной около основания окружности (точку пересечения высот, медиан, биссектрис), и все ребра равны между собой.

Обозначим пирамиду МАВС. её высоту МО, высоту основания АН. Отрезок АО - радиус описанной окружности и равен 2/3 высоты АН.

Все углы правильного треугольника равны 60°⇒ АН=АВ•sin60°=3√3)/2 ⇒ AO=АН•2/3=3/√3=√3. Из прямоугольного ∆ АМО высота МО=AO•tg60°=√3•√3=3 см Для правильного треугольника S=a²√3/4 S(ABC)=9√3/4 см² V(МАВС)= 9√3:4)•3:3=9√3:4 см³


Сторона основания правильной треугольной пирамиды равна 3 см. боковое ребро пирамиды образует с плос
4,8(6 оценок)
Ответ:
Helpppppp11
Helpppppp11
28.02.2023

синус это хорошо если синус 1/2, то все сразу понятно.

 

А вот такое решение. Берем ТАКОЙ ЖЕ прямоугольный треугольник и "приставляем" к исходному большим катетом так, чтобы меньшие катеты были продолжением друг друга (то есть симметрично отображаем - так это называется).

Получился треугольник, у которого все стороны равны.

Ну, а если все стороны равны, то все углы - тоже равны .

(А почему? - спросит учитель. А потому, что при повороте на 60 градусов вокруг некоей оси это треугольник переходит сам в себя. Не важно, где эта ось - важно, что все углы можно совместить, вращая и смещая плоскость, значит, они равны. Например, повернул вокруг вершины, а потом сдвинул - и совпало...)

Значит, все углы по 60 градусов.

Это означает, что у исходного прямоугольного треугольника один из углов 60 градусов. 

Ну, а второй, конечно же, 30 градусов.

4,6(75 оценок)
Это интересно:
Новые ответы от MOGZ: Геометрия
logo
Вход Регистрация
Что ты хочешь узнать?
Спроси Mozg
Открыть лучший ответ