М
Молодежь
К
Компьютеры-и-электроника
Д
Дом-и-сад
С
Стиль-и-уход-за-собой
П
Праздники-и-традиции
Т
Транспорт
П
Путешествия
С
Семейная-жизнь
Ф
Философия-и-религия
Б
Без категории
М
Мир-работы
Х
Хобби-и-рукоделие
И
Искусство-и-развлечения
В
Взаимоотношения
З
Здоровье
К
Кулинария-и-гостеприимство
Ф
Финансы-и-бизнес
П
Питомцы-и-животные
О
Образование
О
Образование-и-коммуникации
Dhffhjh
Dhffhjh
22.02.2020 10:38 •  Геометрия

Bm медіана трикутника abc. знайдіть координати точки м, якщо а(-1; 15), c(7; -9)

👇
Ответ:
Serebrennikova217
Serebrennikova217
22.02.2020
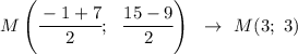
ВМ - медиана, значит точка М - середина отрезка АС
Находим координаты точки М:

M \left( \cfrac{-1+7}{2}; \ \ \cfrac{15-9}{2} \right) \ \ \to \ M(3; \ 3)

ответ: М(3; 3)
4,5(10 оценок)
Открыть все ответы
Ответ:

(∠В+∠С) -∠В=56, значит, ∠С=56°, смежный с этим углом внешний угол при вершине С равен 180°-56°=124°;

Если основанием является АС, то ∠А=56°, по свойству углов при основании в равнобедренном треугольнике. а внешний угол при вершине А тоже равен 124°.

Тогда ∠В=180°-2*56°=68°, и внешний при вершине В равен 180°-68°=112°

Если же основанием является АВ, т.е. ∠С - угол при вершине равнобедренного треугольника,  то

∠А=∠В=(180°-56°)/2=62°, и соответственно углы, внешние: при вершинах  А  и В равны  180°-62°=118°, а при вершине С 124°

4,8(76 оценок)
Ответ:
Yerkosyaorynbekova
Yerkosyaorynbekova
22.02.2020
Рассказ о смерти Одда напоминает собой древнерусское сказание о вещем князе Олеге, вошедшее в Повесть временных лет. Сам летописец сознается в том, что прислушивался и к народным сказаниям. Под 1106 годом читаем: “в се же лето преставись Ян, старец добрый, жив лет 90, в старости мастите, по закону Божию, не хужше первых праведник; у него же и аз много словеса слышах еже и писах в летописании сем”. Преподобный Феодосий требовал, чтобы иноки знакомились с “преданиями отеческими”1. Что с этим советом считались, видно, например, из пояснения автора такого произведения, как Память и похвала князю русскому Володимеру: “аз худый мних Ииаков слышав от многих о благоверном князе Володимери всея рускыя земля, о сыну Святославле, и мало събрав от многих я добродетели его написах”2. Кроме того, в языке Нестора чувствуется живая устная речь: полногласие слов, повторение предлогов и многие другие обороты, все это указывает на народную стихию. Если, согласно мнению Бестужева-Рюмина, Повесть временных [231] лет является архивом, в котором хранятся следы погибших для нас произведений первоначальной нашей литературы, то часть их составляют преданья старины глубокой3.
4,4(36 оценок)
Это интересно:
Новые ответы от MOGZ: Геометрия
logo
Вход Регистрация
Что ты хочешь узнать?
Спроси Mozg
Открыть лучший ответ