М
Молодежь
К
Компьютеры-и-электроника
Д
Дом-и-сад
С
Стиль-и-уход-за-собой
П
Праздники-и-традиции
Т
Транспорт
П
Путешествия
С
Семейная-жизнь
Ф
Философия-и-религия
Б
Без категории
М
Мир-работы
Х
Хобби-и-рукоделие
И
Искусство-и-развлечения
В
Взаимоотношения
З
Здоровье
К
Кулинария-и-гостеприимство
Ф
Финансы-и-бизнес
П
Питомцы-и-животные
О
Образование
О
Образование-и-коммуникации
egopka666
egopka666
21.12.2020 02:49 •  Геометрия

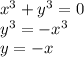
Что представляет собой график и верны ли след. утверждения: 1) начало координат лежит на линии 2)уравнение задает прямую линию 3)все точки биссектрисы 2-го и 4-го коорд. углов лежат на линии 4)все точки оси ординат лежат на линии

👇
Ответ:
FruitAPps
FruitAPps
21.12.2020
Этот график - прямая y=-x. Док-во:
x^3+y^3=0 \\ y^3=-x^3 \\ y=-x

1) да, график проходит через начало координат
при x=0, y=0.

2) да (уже доказали)

3) да. Прямая y=-x делит второй и четвертый координатный угол пополам.

4) нет. График пересекает ось ординат лишь в одной точке - (0;0)
4,4(39 оценок)
Открыть все ответы
Ответ:
3xoTualetnogo6a4ka
3xoTualetnogo6a4ka
21.12.2020

КМ - средняя линия основания.

SAKM - отсеченная пирамида.

Vsabc = 12

Vsabc = 1/3 Sabc · h

Vsakm = 1/3 Sakm · h, так как эти пирамиды имеют общую высоту.

Рассмотрим треугольники АВС и АКМ:

АК : АВ = 1 : 2

АМ : АС = 1 : 2

угол при вершине А общий, значит треугольники подобны по двум пропорциональным сторонам и углу между ними.

k = 1/2

Площади подобных треугольников относятся как квадрат коэффициента подобия:

Sakm : S abc = 1 : 4

Sakm = 1/4 Sabc

Vsakm = 1/3 · 1/4 Sabc · h = 1/4 (1/3 Sabc · h) = 1/4 Vsabc

Vsakm = 1/4 · 12 = 3

4,7(94 оценок)
Ответ:
Аэлита987
Аэлита987
21.12.2020

КМ - средняя линия основания.

SAKM - отсеченная пирамида.

Vsabc = 12

Vsabc = 1/3 Sabc · h

Vsakm = 1/3 Sakm · h, так как эти пирамиды имеют общую высоту.

Рассмотрим треугольники АВС и АКМ:

АК : АВ = 1 : 2

АМ : АС = 1 : 2

угол при вершине А общий, значит треугольники подобны по двум пропорциональным сторонам и углу между ними.

k = 1/2

Площади подобных треугольников относятся как квадрат коэффициента подобия:

Sakm : S abc = 1 : 4

Sakm = 1/4 Sabc

Vsakm = 1/3 · 1/4 Sabc · h = 1/4 (1/3 Sabc · h) = 1/4 Vsabc

Vsakm = 1/4 · 12 = 3

4,8(85 оценок)
Это интересно:
Новые ответы от MOGZ: Геометрия
logo
Вход Регистрация
Что ты хочешь узнать?
Спроси Mozg
Открыть лучший ответ