М
Молодежь
К
Компьютеры-и-электроника
Д
Дом-и-сад
С
Стиль-и-уход-за-собой
П
Праздники-и-традиции
Т
Транспорт
П
Путешествия
С
Семейная-жизнь
Ф
Философия-и-религия
Б
Без категории
М
Мир-работы
Х
Хобби-и-рукоделие
И
Искусство-и-развлечения
В
Взаимоотношения
З
Здоровье
К
Кулинария-и-гостеприимство
Ф
Финансы-и-бизнес
П
Питомцы-и-животные
О
Образование
О
Образование-и-коммуникации
MFINN23
MFINN23
21.12.2022 02:58 •  Геометрия

Найдите площадь равнобедренного треугольника, если боковая сторона равна 7см, а основание – 4см

👇
Ответ:
kornev183
kornev183
21.12.2022
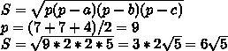
По формуле герона площадь равнаp  - полупериметр, a, b, c - стороны
Найдите площадь равнобедренного треугольника, если боковая сторона равна 7см, а основание – 4см
4,5(100 оценок)
Ответ:
gabiko82
gabiko82
21.12.2022
Если основание 4 , то будет так:
7*7*4=196см
ведь боковые стороны равны 
4,8(16 оценок)
Открыть все ответы
Ответ:
1. Площадь параллелограмма равна 72 см², а его стороны - 12 см и 8 см. Найдите высоты параллелограмма.

Sabcd = a · h₁                       Sabcd = b · h₂
12 · h₁ = 72                            8 · h₂ = 72
h₁  = 72/12 = 6 см                h₂ = 72/8 = 9 см

2. Площадь ромба со стороной 18 см и высотой 7 см равна площади прямоугольника со стороной 14 см. Найдите периметр прямоугольника.

Sabcd = Sklmn
AD · BH = a · b
18 · 7 = 14 · b
b = 18 · 7 / 14 = 9 см
Pklmn = 2(a + b) = 2(14 +9) = 46 см

3. Найдите площадь равнобедренного треугольника, боковая сторона которого равна 15 см, а основание - 24 см.

Проведем ВН - высоту треугольника АВС. Так как треугольник равнобедренный, ВН является медианой.
АН = НС = 24/2 = 12 см

ΔАВН: ∠АНВ = 90°, по теореме Пифагора
             ВН = √(АВ² - АН²)  = √(225 - 144) = √81 = 9 см

Sabc = AC · BH / 2 = 24 · 9 / 2 = 108 см²

4. Меньшая диагональ ромба равна 12 см, а один из углов - 60°. Найдите вторую диагональ и сторону ромба.

ΔABD равнобедренный (AB = AD как стороны ромба) и ∠BAD = 60°, значит ΔABD равносторонний. Тогда АВ = AD = BD = 12 см.

По свойству параллелограмма сумма квадратов диагоналей равна сумме квадратов сторон параллелограмма:
AC² + BD² = 4·AB²
AC² = 4·12² - 12² = 3·12²
AC = 12√3 см
 
5. Большее основание и большая боковая сторона прямоугольной трапеции равны а см, а один из углов - 60°. Найдите площадь трапеции.

AD = DC = a см, ∠ADC = 60°, значит ΔADC равносторонний.
Проведем высоту трапеции СН. Она является высотой и медианой равностороннего треугольника ADC, тогда СН = а√3/2 см, АН = НD = а/2.
СН ║ АВ (как перпендикуляры к одной прямой) и СН = АВ (как высоты трапеции), тогда АВСН - прямоугольник, значит, ВС = АН = а/2 см.
Sabcd = (AD + BC)/2 · CH = (a + a/2)/2 · a√3/2 = 3a²√3/8 см²
4,7(96 оценок)
Ответ:
karinaigubaeva
karinaigubaeva
21.12.2022

Complete the sentences with have or has (Подставьте в предложения have или has):

1 you got any sweets?

2 He got a new mobile phone.

3 They n’t got any money.

4 she got a lot of friends?

5 We got some tissues.

6 I got a cheese sandwich.

7 he got an apple?

8 She not got a purse.

9 I not got a hairbrush.

10 You got a key.

Объяснение:

Complete the sentences with have or has (Подставьте в предложения have или has):

1 you got any sweets?

2 He got a new mobile phone.

3 They n’t got any money.

4 she got a lot of friends?

5 We got some tissues.

6 I got a cheese sandwich.

7 he got an apple?

8 She not got a purse.

9 I not got a hairbrush.

10 You got a key.

4,4(25 оценок)
Это интересно:
Новые ответы от MOGZ: Геометрия
Полный доступ к MOGZ
Живи умнее Безлимитный доступ к MOGZ Оформи подписку
logo
Вход Регистрация
Что ты хочешь узнать?
Спроси Mozg
Открыть лучший ответ