М
Молодежь
К
Компьютеры-и-электроника
Д
Дом-и-сад
С
Стиль-и-уход-за-собой
П
Праздники-и-традиции
Т
Транспорт
П
Путешествия
С
Семейная-жизнь
Ф
Философия-и-религия
Б
Без категории
М
Мир-работы
Х
Хобби-и-рукоделие
И
Искусство-и-развлечения
В
Взаимоотношения
З
Здоровье
К
Кулинария-и-гостеприимство
Ф
Финансы-и-бизнес
П
Питомцы-и-животные
О
Образование
О
Образование-и-коммуникации
0Pandohcka0
0Pandohcka0
13.03.2020 17:32 •  Геометрия

Найдите координаты вектора ав , если а(-4; 7; -2) в(-6; -3; 1) буду

👇
Ответ:
kseniarevda7
kseniarevda7
13.03.2020
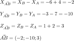
А(-4;7;-2) В(-6;-3;1)
X_{ \vec {AB}} = X_B-X_A= -6 + 4 = -2 \\ \\ Y_{ \vec {AB}}=Y_B-Y_A=-3-7=-10 \\ \\ Z_{ \vec {AB}}=Z_B-Z_A=1+2=3 \\ \\ \vec {AB} = (-2; -10; 3)
4,6(60 оценок)
Открыть все ответы
Ответ:
Dimalchik
Dimalchik
13.03.2020
У любого параллелограмма противоположные углы равны
Сумма всех углов параллелограмма равна 360°.

АВСД - параллелограмм, ∠А=∠С, ∠В=∠Д
∠А+∠В+∠С+∠Д=360°

Рассмотрим условие 
а)сумма двух его противоположных углов равна 94 градуса.
То есть ∠А+∠С=94°
а поскольку ∠А=∠С, значит ∠А=∠С=94°/2=47°.

∠А+∠В+∠С+∠Д=360° и ∠В=∠Д, значит
47°+∠В+47°+∠Д=360°
∠В+∠Д=360°-94°
2∠В=266°
∠В=∠Д=266°/2
∠В=∠Д=133°

ответ: при условии а)  ∠А=∠С=47° и ∠В=∠Д=133°.

Рассмотрим условие
б)разность двух из них равна 70 градусов

Поскольку противоположные углы равны у параллелограмма, значит
разность противоположных углов равна 0°.
Выходит, что 70° это разность между двумя соседними углами, то есть
∠В-∠А=70°.
Допустим, что ∠А=Х°, значит
∠А=∠С=Х°
∠В=∠Д=Х°+70°

∠А+∠В+∠С+∠Д=360°
х+(х+70)+х+(х+70)=360°
4х+140°=360°
4х=220°
х=220°/4
х=55°
То есть ∠А=∠С=Х°=55°
∠В=∠Д=Х°+70°=55°+70°=125°

ответ: при условии б) ∠А=∠С=55° и ∠В=∠Д=125°
4,8(99 оценок)
Ответ:
03222
03222
13.03.2020
1. У параллелограмма противоположные углы равны.
2. Сумма противоположных углов параллелограмма равна 180 град (по условию)

Следовательно, а+а=180
                            2а=180
                            а=90(град) каждый из 2-х противоположных углов
3.Сумма углов параллелограмма (который является выпуклым четырёхугольником) равна 360 град.
(360-180):2=180:2=90(град) - остальные углы параллелограмма
4.Итак, все углы параллелограмма равны 90 град.
  (Данный параллелограмм является прямоугольником).
ответ: 90, 90, 90, 90
4,7(89 оценок)
Это интересно:
Новые ответы от MOGZ: Геометрия
logo
Вход Регистрация
Что ты хочешь узнать?
Спроси Mozg
Открыть лучший ответ