М
Молодежь
К
Компьютеры-и-электроника
Д
Дом-и-сад
С
Стиль-и-уход-за-собой
П
Праздники-и-традиции
Т
Транспорт
П
Путешествия
С
Семейная-жизнь
Ф
Философия-и-религия
Б
Без категории
М
Мир-работы
Х
Хобби-и-рукоделие
И
Искусство-и-развлечения
В
Взаимоотношения
З
Здоровье
К
Кулинария-и-гостеприимство
Ф
Финансы-и-бизнес
П
Питомцы-и-животные
О
Образование
О
Образование-и-коммуникации
MakcaBa
MakcaBa
20.01.2021 20:43 •  Геометрия

Диагонали ромба численно равны корням уравнения найдите сторону ромба.

👇
Ответ:
hippol
hippol
20.01.2021
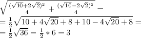
Найдем диагонали ромба, т.е. решим это уравнение
D=40-8=32
x_{1} = \frac{ \sqrt{40}+ \sqrt{32} }{2} = \\ 
 x_{2} =\frac{ \sqrt{40}- \sqrt{32} }{2} = \sqrt{10}-2 \sqrt{2} \\
Т.К. диагонали ромба точкой пересечения делятся пополам, то по теореме Пифагора найдем его сторону:
\sqrt{ \frac{ (\sqrt{10}+2 \sqrt{2})^{2} }{4}+\frac{ (\sqrt{10}-2 \sqrt{2})^{2} }{4} }= \\ = \frac{1}{2} \sqrt{10+4 \sqrt{20}+8+10-4 \sqrt{20}+8 }= \\ = \frac{1}{2} \sqrt{36}= \frac{1}{2}*6=3 

ответ: сторона ромба равна 3
4,6(3 оценок)
Открыть все ответы
Ответ:
andrognew2018
andrognew2018
20.01.2021
CosA=5/7=44 градуса                                                                                             
По теореме о сумме углов треугольника имеем:
Угол А + угол В + угол С = 180 градусов;
44 градуса + угол В + 90 градусов = 180 градусов;
угол В = 180 градусов-44градуса-90градусов=46 градусов.
По теореме синусов имеем:                                                                                     АС/sinB=AB/sinC;                                                                                                     15/sin46 = AB/sin90                                                                        АВ=15*sin90/sin46=15*1/0.7193=приблизительно 20                                                                                                                                                                                       
4,8(10 оценок)
Ответ:
Если известны стороны!
Проведем две медианы к боковым сторонам треугольника. 
Так как он равнобедренный, медианы эти равны и отсекают от исходного треугольника два меньших, равных между собой. 
Угол при основании неизвестен, поэтому обозначим его α и его косинус -  cosα
Выразим медиану одного из образовавшихся треугольников по теореме косинусов. 
Чтобы найти косинус угла при основании, применим теорему косинусов к данному в условии задачи треугольнику, стороны которого известны. 
Подставив найденное значение cosα в уравнение медианы, найдем ее длину.
4,5(17 оценок)
Это интересно:
Новые ответы от MOGZ: Геометрия
logo
Вход Регистрация
Что ты хочешь узнать?
Спроси Mozg
Открыть лучший ответ