М
Молодежь
К
Компьютеры-и-электроника
Д
Дом-и-сад
С
Стиль-и-уход-за-собой
П
Праздники-и-традиции
Т
Транспорт
П
Путешествия
С
Семейная-жизнь
Ф
Философия-и-религия
Б
Без категории
М
Мир-работы
Х
Хобби-и-рукоделие
И
Искусство-и-развлечения
В
Взаимоотношения
З
Здоровье
К
Кулинария-и-гостеприимство
Ф
Финансы-и-бизнес
П
Питомцы-и-животные
О
Образование
О
Образование-и-коммуникации
andreygaevskiy
andreygaevskiy
30.03.2021 23:24 •  Геометрия

Абсолютная величина вектора c (12; m) равна 13, а вектора b(n; 15) равна 17. найти m и n.

👇
Ответ:
Boris2006
Boris2006
30.03.2021
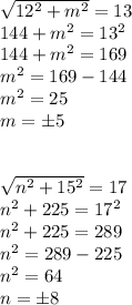
Абсолютная величина вектора равна квадратному корню из суммы квадратов его координат.

\sqrt{12^2+m^2}=13 \\ 144+m^2=13^2 \\144+m^2=169 \\ m^2=169-144 \\ m^2=25\\ m=б5 \\ \\ \\ 
\sqrt{n^2+15^2}=17 \\ n^2+225=17^2 \\n^2+225=289 \\ n^2=289-225\\ n^2=64\\ n=б8

ответ: m=±5; n=±8
4,4(74 оценок)
Ответ:
sanjabr82oymx7f
sanjabr82oymx7f
30.03.2021
Решение задания прилагается
Абсолютная величина вектора c (12; m) равна 13, а вектора b(n; 15) равна 17. найти m и n.
4,8(18 оценок)
Открыть все ответы
Ответ:
olgaborodec82
olgaborodec82
30.03.2021
Объем - это площадь основания на высоту. Площадь основания есть площадь ромба, а высоту можешь найти исходя из того, что диагональные сечения есть прямоугольники, ширина обеих - высота, а длины равны длинам соответствующих диагоналей. Произведение диагоналей находишь из определения площади ромба. S= произведение диагоналей делённое пополам, то есть ab/2. Отсюда ab=60. Это же произведение можно ещё представить, как (96/h) *(40\h) = 3840/(h^2), где h - высота

3840/h^2 = 60, откуда h^2 = 64, откуда h=8.

Объем равен 30*8 = 240
4,5(17 оценок)
Ответ:
AliceКрошка
AliceКрошка
30.03.2021
Пусть угол А - х, тогда угол B - тоже х, а угол Bad = x/2 рассмотрим треугольник АДБ - угол Б равен 180 градусов -( 110 градусов + x/2) рассмотрим треугольник АБС угол Б равен 180 - 2х потом вычитаем из первого уравнения второе, в правой части у нас ноль (углы Б сократились) в левой части 2x-110-x/2 иксы в правую часть градусы в левую часть переносим итого у нас получается 1,5х=110 градусов x=углу А= углу С= 73 и 1/3 градусов (в ответе переведи в десятичные 73,33) Угол б равен 180 градусов минус 2х = 33 и 1/3 градуса (33.33)
4,5(54 оценок)
Это интересно:
Новые ответы от MOGZ: Геометрия
logo
Вход Регистрация
Что ты хочешь узнать?
Спроси Mozg
Открыть лучший ответ