Вход
Регистрация
Спроси Mozg AI
М
Молодежь
К
Компьютеры-и-электроника
Д
Дом-и-сад
С
Стиль-и-уход-за-собой
П
Праздники-и-традиции
Т
Транспорт
П
Путешествия
С
Семейная-жизнь
Ф
Философия-и-религия
Б
Без категории
М
Мир-работы
Х
Хобби-и-рукоделие
И
Искусство-и-развлечения
В
Взаимоотношения
З
Здоровье
К
Кулинария-и-гостеприимство
Ф
Финансы-и-бизнес
П
Питомцы-и-животные
О
Образование
О
Образование-и-коммуникации
.....больше.....
..меньше..
KseshaMail
26.06.2022 22:06 •
Геометрия
Сполным и подробным решением (у треугольника две стороны 20 см и 21см; а синус угла между ними равен 0,6. найти третью сторону.
👇
Увидеть ответ
Ответ:
местоимение111
26.06.2022
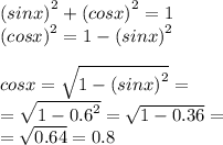
Если в треугольнике даны две известные стороны и косинус угла между ними, то можно найти третью сторону ПО ТЕОРЕМЕ КОСИНУСОВ
Косинус угла через известный синус этого же угла находим по тригонометрическому тождеству:
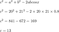
Пусть а = 20 см , b = 21 см , с - третья сторона , x - угол между сторонами а и b , тогда
По теореме косинусов:
ОТВЕТ: 13 см.
4,5
(15 оценок)
Открыть все ответы
Ответ:
jekander
26.06.2022
В треугольнике АВС угол С = 90 градусов, угол А = 60 градусов, ВС = 8 корень из 3. Найдите АВ.
угол С = 90 градусов, треугольник АВС - прямоугольный
AB = BC/sinA = 8√3 / sin60 = 8√3 / √3/2 = 16
В треугольнике АВС угол С = 90 градусов, угол А = 30 градусов, АВ = 36 корень из 3. Найти высоту СН.
угол С = 90 градусов, треугольник АВС - прямоугольный
BC = AB*sinA = 36√3 *sin30 = 36√3 * 1/2 = 18√3
<B = 90 - <A = 60 Град
CH = BC *sinB = 18√3 *sin60 = 18√3 * √3/2 = 27
В треугольнике АВС угол С = 90 градусов, угол А = 30 градусов, АВ = 40 корень из 3. Найти высоту СН.
угол С = 90 градусов, треугольник АВС - прямоугольный
BC = AB*sinA = 40√3 *sin30 = 40√3 * 1/2 = 20√3
<B = 90 - <A = 60 Град
CH = BC *sinB = 20√3 *sin60 = 20√3 * √3/2 = 30
В треугольнике АВС угол С = 90 градусов, угол А = 30 градусов, АВ = 88 корень из 3. Найти высоту СН.
угол С = 90 градусов, треугольник АВС - прямоугольный
BC = AB*sinA = 88√3 *sin30 = 88√3 * 1/2 = 44√3
<B = 90 - <A = 60 Град
CH = BC *sinB = 44√3 *sin60 = 44√3 * √3/2 = 66
В треугольнике АВС угол С = 90 градусов, угол А = 30 градусов, АВ = 52 корень из
3. Найти высоту СН.
угол С = 90 градусов, треугольник АВС - прямоугольный
BC = AB*sinA = 52√3 *sin30 = 52√3 * 1/2 = 26√3
<B = 90 - <A = 60 Град
CH = BC *sinB = 26√3 *sin60 = 26√3 * √3/2 = 39
4,4
(98 оценок)
Ответ:
janat8509
26.06.2022
a=BC, b=AC, c=AB Пусть биссектриса BD=x, а ∠ADB=α
по теореме косинусов a²=b²+c²-2bccosA cosA=(b²+c²-a²)/2bc=804/924=67/77
sin²A=1-cos²A=1440/77²=36*40/77² sinA=4*√40/77
b²=a²+c²-2accosB cosB=(a²+c²-b²)/2ac=164/484=41/121 cosB=cos2*(B/2)
=cos²B/2-sin²B/2=1-2sin²(B/2) sin²B/2=(1-cosB)/2=40/121 sin(B/2)=√40/11
по теореме синусов:
BD/sinA=c/sinα=AD/sin(B/2)
BD/sinC=a/sin(180-α)=DC/sinB/2
берем вторые равенства и складываем sin(180-α)=sinα
(с+a)/sinα=(AD+DC)/sin(B/2)=b/sin(B/2)
sinα=(c+a)*sin(B/2)/b=33*√40/11*21=√40/7
по теореме синусов
с/sinα=BD/sinA
BD=c*sinA/sinα=22*4*√40*7/(77*√40)=8
4,7
(37 оценок)
Это интересно:
С
Стиль-и-уход-за-собой
07.09.2022
Как скрыть синяк: простые способы...
К
Кулинария-и-гостеприимство
17.08.2020
Шоколадная водка: рецепты домашнего приготовления...
П
Питомцы-и-животные
06.11.2020
Как убить муху: 5 действенных способов...
Х
Хобби-и-рукоделие
24.08.2021
Как сшить детское платье: пошаговая инструкция...
И
Искусство-и-развлечения
23.04.2020
Мастерство подбора музыки: Как выбрать мелодии для разных мероприятий?...
З
Здоровье
15.05.2020
Угревые струпья: как расправиться с ними быстро и эффективно?...
14.02.2020
Как быть честным(ой)?...
К
Компьютеры-и-электроника
03.09.2020
Как стать специалистом в Microsoft Excel: советы от эксперта...
З
Здоровье
14.05.2022
Как увеличить уровень тромбоцитов в крови...
З
Здоровье
20.06.2022
Как восстановиться после операции на ступне...
Новые ответы от MOGZ: Геометрия
Солнышко003
01.02.2022
Три точки a, b, c лежат на одной прямой, известно что ab=5,8 см , ac=2,5 см , bc=3,3 см. может ли точка a лежать между точками b и c? может ли точка b лежать между...
СашаТарсюк
01.02.2022
Катеты прямоугольного треугольника равны 12 см и 16 см, найдете периметр треугольника, подобного данному, если его площадь равна 24 см ^2...
лена6385
21.03.2022
Ввыпуклом четырёхугольнике abcd стороны ab и cd параллельны, стороны bc и ad параллельны.сумма углов a и c равно 70(градусов).найдите угол d...
0000444455665
21.03.2022
Если в треугольнике высота является медианой, то можно ли сделать вывод, что треугольник равнобедренный?...
skrydyya
21.03.2022
Найдите гипотенузу прямоугольного треугольника, если его катеты равны 5см и 12см...
Сырочег
21.03.2022
Впрямоугольном треугольнике abc угол c равен 90 градусов, а tg b=корень из 3. найдите sin a....
sgagasik
21.03.2022
Периметр треугольника равен 35см . найдите длины его сторон,если одна из них длиннее второйна 3см и короче третьей на 5 см. сорри...
лиза5222
02.05.2020
Ребят,кто разбирается в теме Сложение и вычитание векторов...
Elizabeth1006
28.01.2023
До кола з центром О проведено в точці В дотичну АВ, кут ВОА : кут ВАС = 2:7. Знайдіть кут ВОА і кут ВАО...
vika12325
01.03.2021
Чим субурбнізація відрізняється від хибної урбанізації наведіт пр...
MOGZ ответил
Решите системы уравнений 2x+y=7 3x-2y=7 и еще одна 3x+4y=-1 2x+5y=4...
Решиту уравнение а) 16х²-8х+1=0 б) 4y²+4y+1=0...
Определить количество вещества водорода, заполняющего сосуд совместимость...
1)от автовокзала отошли одновременно 2 автобуса .через 2 часа между...
Сочинение на тему что такое хорошо и что такое плохо для ученика...
Восновании пирамиды лежит равнобедренный треугольник,боковая сторона...
Какие противоположные свойства у тюльпана?...
Задали сочинение на тему весна в окно стучится, написать....
На какие тематические группы делятся эти слова? 1. серебро, пшено,...
Регион россии с наибольшей долей болт...
Полный доступ к MOGZ
Живи умнее Безлимитный доступ к MOGZ
Оформи подписку
О НАС
О нас
Блог
Условия пользования
Авторское право
Политика конфиденциальности
Предпочтения cookie-файлов
ПОМОЩЬ
Зарегистрируйся
Центр помощи
Центр безопасности
App
Вход
Регистрация
Что ты хочешь узнать?
Спроси Mozg
Открыть лучший ответ
×
Косинус угла через известный синус этого же угла находим по тригонометрическому тождеству:
Пусть а = 20 см , b = 21 см , с - третья сторона , x - угол между сторонами а и b , тогда
По теореме косинусов:
ОТВЕТ: 13 см.